所屬科目:研究所、轉學考(插大)-微積分
(1) Find its average speed Δf/Δt from t = 0 to t = (5 points)
(2) Find its average speed Δf/Δt from t = to t = 1 (5 points)
(3) What is df/dt at t = (5 points)
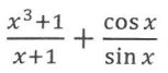
(2) (5 points)
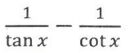
(5)(5 points)
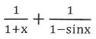
(6) (5 points)
(8) x² sin x cos x + sin x (5 points)