所屬科目:研究所、轉學考(插大)-微積分
(1)
(2) ∫e2xsin(3x) dx
(3) x ln x dx
(4)
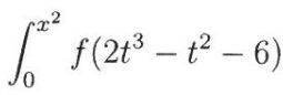
2. lfdt= Inx,ind the value of f(106). (10 points)
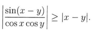
4. IfO ≤ x,y ≤ , prove that (10 points)
5. Determine whether the infinite series is convergent or not. (10 points)
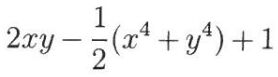
6. Find the relative extrema and saddle point of the function f(x,y) = where (x,y) (10 points)
7. Find the area of the surface given by f(x, y) = 13 + x2 -y2 over the region {(x,y)x2+y2≤4}(10points)