所屬科目:研究所、轉學考(插大)-微積分
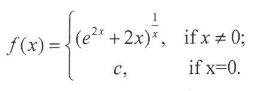
1. (8 points) Find the value of c that makes the following function continuous at x =
(a)
(b)
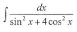
3. (10 points) Evaluate by using an appropriate Riemann sum.
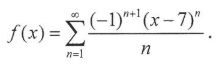
5. (10 points) Consider the function given by Find the interval of convergence for
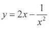
6. (12 points) Sketch the graph of the function
(包含截距,漸進線,極值,凹性,反曲點等).
8. (10 points) Find the volume of the solid bounded by the surfaceabove the plane region R: x2 + y2≤9.