所屬科目:研究所、轉學考(插大)-微積分
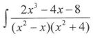
【試題 1】(10 分) Evaluatedx.
【試題 3】(15 分) Let R be the region bounded by the square with vertices (0, 1), (1, 2), (2, 1), (1, 0). Evaluate the integral dA.
【試題 4】(15 分) Evaluate, where C is the parabolic arc given by y = 4x - x² from (4, 0) to (1, 3).
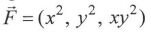
【試題 5】(20 分) Let S be the region bounded by the cylinder: x² + y² = 4, 0 ≤ z ≤ 1. Find the outward flux of the vector field through the cylinder.
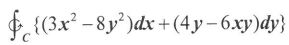
【試題 6】(20 分) Use Green's theorem to evaluate the line integral
where C is the boundary of the region defined by x = 0, y = 0, and x + y = 1.
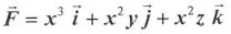
(a) (5 分) Let be a force, calculate the work done in the displacement along the helix C: from A(2, 0, 0) to B(0, 2, 3π).
(b) (5 分) What is ds, where C is the arc of the helix x = cost, y = sint, z = t, which joins the points (1, 0, 0) and (-1, 0, π)?