所屬科目:研究所、轉學考(插大)-微積分
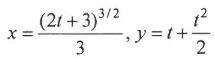
2. (10 分) Find the length of the parameterized curve x = , 0 ≤ t ≤ 3.
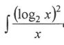
(a) (10 分) Finddx.
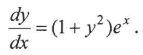
(b) (10 分) Solve the differential equation .
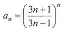
(a) (6 分) Find the limit of the sequence {aₙ}, where aₙ = .
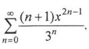
(b) (8 分) Find the radius and interval of convergence of the series .
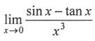
(c) (6 分) Evaluate.
(a) (8 分) Find the value of at the point (1, 1, 1) if the equation
xy + z³x - 2yz = 0
defines z as a function of the two independent variables x and y and the partial derivative exists.
7. (12 分) The usual way to evaluate the improper integraldx (from 0 to ∞) is first to calculate its square: dxdy (double integral from 0 to ∞ for both x and y). Evaluate the integral and solve the resulting equation for I.