所屬科目:研究所、轉學考(插大)-微積分
1. Find .
2. Find [(cos 2x tan x)2 ] .
3. 2 x cos y+ 2y=0 . Determine .
4. Find∫ (x3+1) x2 dx .
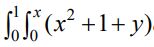
6. Find dx .
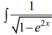
7. Finddx .
8. Please determine the domain of.
9. f(x,y)= tan x secy+ sec x tan y . Findf(x, y).
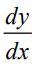
10. Finddydx.