所屬科目:研究所、轉學考(插大)-微積分
1. y=ln(x2+1) , 則= (10%)
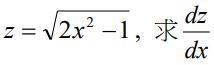
3. z=(x2 +1) 120, 求= (10%)
4. (10%)
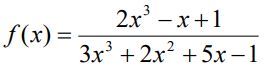
5. , 求 limx→∞f (x)和 limx→-∞f (x)(10%)
6. 求下列不定積分(10%)
7. 設一個油箱外殻為繞 x 軸一圈的柱體,x 和 y 的單位為公尺且 x 介於 0 到 2 之中,求油箱體積(10%)
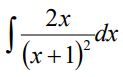
8. 求下列不定積分(10%)
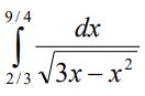
9. 求下列積分值(10%)
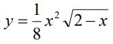
10. 求下列曲線和直線所圍起來的面積(10%)y =x3+2 ,y=x+1 , x=0, x=2