阿摩線上測驗
登入
首頁
>
研究所、轉學考(插大)-微積分
> 106年 - 106 東吳大學轉學生招生考試試題_數學系二年級:微積分#116007
106年 - 106 東吳大學轉學生招生考試試題_數學系二年級:微積分#116007
科目:
研究所、轉學考(插大)-微積分 |
年份:
106年 |
選擇題數:
0 |
申論題數:
18
試卷資訊
所屬科目:
研究所、轉學考(插大)-微積分
選擇題 (0)
申論題 (18)
(a)
(b)
(c)
(d)
(e)
2.(5%) 求橢圓3x
2
+y
2
=12在點(2,0)之切線斜率。
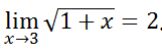
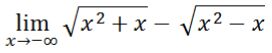
3.(10%) 利用函數極限定義證明
.
4. (5%) 求下列函數的所有相對極值點,並畫出其圖形
f(x)=x
3
-3x
2
+1
(a) 請說明是否滿足均值定理之條件。
(b) 若(a)滿足均值定理,請求出滿足均值定理之 C 值。
(c) 若將 x 改為在區間[-1,1],請問均值定理是否成立?請說明。
(a)
(b)
(a)
(b)
(c)
(d)
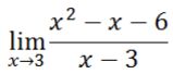
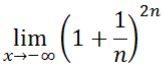
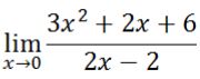
8. (10%) 利用夾擠方法證明
相關試卷
114年 - 114 臺灣綜合大學系統_學士班轉學生考試試題:微積分A#137897
114年 · #137897
114年 - 114 臺灣綜合大學系統_學士班轉學生考試試題:微積分B#137819
114年 · #137819
114年 - 114 台灣聯合大學系統_學士班轉學生考試試題:微積分#137762
114年 · #137762
114年 - 114 台灣聯合大學系統_學士班轉學生考試試題:微積分#137761
114年 · #137761
114年 - 114 國立臺灣大學_轉學生招生考試_物理學系/土木工程學系/生物環境系統工程學系/生物機電工程學系:微積分(B)#137745
114年 · #137745
114年 - 114 國立臺灣大學_轉學生招生考試_數學系:微積分(A)#137744
114年 · #137744
113年 - 113 國立嘉義大學_轉學生招生考試試題_(全校):微積分#122986
113年 · #122986
112年 - 112 國立臺灣大學_碩士班招生考試題:微積分(D)#130254
112年 · #130254
112年 - 112 國立陽明交通大學_碩士班入學招生試題_統計學研究所﹕微積分與線性代數#130252
112年 · #130252
112年 - 112 國立嘉義大學_轉學生招生考試試題:微積分#123297
112年 · #123297