阿摩線上測驗
登入
首頁
>
研究所、轉學考(插大)-微積分
> 106年 - 106 東吳大學_暑假轉學生招生考試_經濟學系二年級:微積分#116016
106年 - 106 東吳大學_暑假轉學生招生考試_經濟學系二年級:微積分#116016
科目:
研究所、轉學考(插大)-微積分 |
年份:
106年 |
選擇題數:
0 |
申論題數:
14
試卷資訊
所屬科目:
研究所、轉學考(插大)-微積分
選擇題 (0)
申論題 (14)
(a) Find the revenue function.
(b) Find the marginal revenue function.
(c) Find the monthly profit function.
(d) Find the monthly marginal profit function.
(a)
(b)
(a)f(x)=ln(1+x),n=5
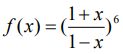
(b)f(x)=
,n=2
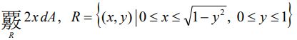
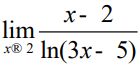
(a)
(b)
(a)f (x,y,z) = x
2
+y
2
+z
2
subject to x-y+z=1
(b)f (x,y,z) = x+2y+z subject to x
2
+y
2
+z
2
=4
(a)
(b)