阿摩線上測驗
登入
首頁
>
港務局◆電機機械與自動控制
> 106年 - 106-1 臺灣港務股份有限公司從業人員甄試_師級_電機:電機機械與自動控制#83190
106年 - 106-1 臺灣港務股份有限公司從業人員甄試_師級_電機:電機機械與自動控制#83190
科目:
港務局◆電機機械與自動控制 |
年份:
106年 |
選擇題數:
0 |
申論題數:
11
試卷資訊
所屬科目:
港務局◆電機機械與自動控制
選擇題 (0)
申論題 (11)
(a) The total reluctance of the flux path (iron plus air gap).
(b) The current required to produce a flux density of 0.5 T in the air gap.
(a) 總電路損失;
(b) 此電動機之操作效率。
(a) 啟動時的定子輸入線電流為多少 A?
(b) 當操作於轉差率為 3%時,電動機的定子輸入線電流為多少 A?
(c) 當操作於轉差率為 3%時,電動機轉子的轉速為多少 rpm?
(d) 當操作於轉差率為 3%時,電動機轉子的輸出功率為多少 W?
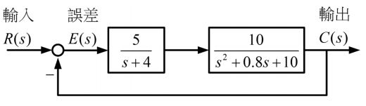
4.ㄧ船舶之滾轉控制系統方塊圖如下:
試推導出輸入 R (s)至誤差 E (s)之轉移函數
(a) 此系統由干擾訊號d至x
1
之轉移函數。
(b)應如何擇定m
2
與 k
2
使得當干擾訊號d 為頻率為ω
0
之弦式訊號時, x
1
不會受到此一頻率干擾之影響。
相關試卷
105年 - 105-2 臺灣港務股份有限公司從業人員甄試_師級_電機:電機機械與自動控制#83219
105年 · #83219
105年 - 105-1 臺灣港務股份有限公司從業人員甄試_師級_電機:電機機械與自動控制#83212
105年 · #83212