阿摩線上測驗
登入
首頁
>
港務局◆經濟學(概要)
> 106年 - 106-2 臺灣港務股份有限公司從業人員甄試_員級_業務行政:經濟學概要#75322
106年 - 106-2 臺灣港務股份有限公司從業人員甄試_員級_業務行政:經濟學概要#75322
科目:
港務局◆經濟學(概要) |
年份:
106年 |
選擇題數:
0 |
申論題數:
10
試卷資訊
所屬科目:
港務局◆經濟學(概要)
選擇題 (0)
申論題 (10)
(1)請舉一個例子說明需求法則。
(2)請以雞蛋市場的供給與需求,分析部分雞蛋受殺蟲劑成分芬普尼污染 而下架;同時,消費者對食安產生疑慮,減少雞蛋購買,對雞蛋市場 均衡價格與均衡數量的影響。
(1)請畫圖並分析設定基本工資對勞動市場均衡工資、勞動力與失業的影 響。
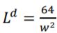
(2)勞動需求函數為
,勞動供給函數為L
S
= 8 ×
(1) 假定勞工為唯一的變動要素。請計算該廠商付給任一名勞工的薪資為 多少?
(2) 請問從雇用第幾位員工起,廠商的邊際報酬開始遞減?
(1) 根據物價統計月報,1977 年的物價指數是 37.31,而 2016 年的物價 指數是 105.10。請根據以上資料,計算 1977 年的名目薪資 9,000 元 大約相當於 2016 年名目薪資多少元? (列出算式即可,無須計算出 最終答案)
(2) 試討論通貨膨脹對債權人(Creditor)與債務人(Debtor)的影響。
(1) 何謂購買力平價理論?
(2) 試分析日幣相對於台幣貶值,對台灣貿易、觀光的影響。
相關試卷
109年 - 臺灣港務股份有限公司 109 年度新進從業人員甄試筆試試題 甄選類科:師級 A02 業務管理 測驗科目:專業科目 1-經濟學#94913
109年 · #94913
108年 - 108 臺灣港務股份有限公司新進從業人員甄試_業務管理:經濟學#83534
108年 · #83534
107年 - 107 臺灣港務股份有限公司新進從業人員甄試_業務管理:經濟學#83178
107年 · #83178
106年 - 106-2 臺灣港務股份有限公司從業人員甄試_師級_業務管理:經濟學#83192
106年 · #83192