所屬科目:學士後 - 普通生物學(生物學)
1. When NaCl salt dissolve in water, which one of the following conditions is favorable? (A) Increase of osmotic pressure (B) Decrease of entropy (C) Hydration of (D) Breaking of NaCl crystal
2. When ammonia gas (NH3) dissolves in water, what interaction(s) does not favor the formation of ammonium ion ? (A) H-bonds (B) Dipole-dipole & dipole-charge interactions (C) Hydrophobic interaction (D) A and B
4. Acetic acid has a pKa of 4.76, but at pH5.76 what is the ratio of the conjugated acid (CH3COOH) to the conjugated base ? (A) 1:100 (B) 100:1 (C) 1:10 (D) 10:1
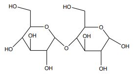
41. What is this disaccharide? (A) Sucrose (B) Lactose (C) Maltose (D) None of the above
67. When a palmitic acid () is oxidized through the β-oxidation, how many acetyl CoA can be generated? (A) 7 (B) 8 (C) 14 (D) 16
68. When a palmitic acid () is degraded to acetyl CoAs, how many (NADH+H+) can be generated from the β-oxidation? (A) 7 (B) 8 (C) 14 (D) 16