阿摩線上測驗
登入
首頁
>
技檢◆測量-工程測量-乙級
> 107年 - 04202 測量─工程測量 乙級 工作項目 03:控制測量 1-100#38789
107年 - 04202 測量─工程測量 乙級 工作項目 03:控制測量 1-100#38789
科目:
技檢◆測量-工程測量-乙級 |
年份:
107年 |
選擇題數:
100 |
申論題數:
0
試卷資訊
所屬科目:
技檢◆測量-工程測量-乙級
選擇題 (100)
1. 三點法又稱(A)前方交會法(B)側方交會法(C)後方交會法(D)四方交會法。
2. 實施交會測量之各種方法,應依據已知點數最少為(A)2 點(B)3 點(C)4 點(D)5 點。
3. 雙點定位法求交會點之位置,可求得交會點之數目為(A)1(B)2(C)3(D)無限。
4. 將儀器分別整置於二已知點上,觀測二個水平角,以求得未知點之位置,稱為(A)前方交會測量(B)側方交會 測量(C)後方交會測量(D)輻射法。
5. 光線法之觀測量為(A)四個角度(B)二個角度(C)一個角度及一邊長(D)二邊長。
6. 一正三角形 ABC,三點依順時針排列,若 BC 之方位角為 115°,則 AC 之方位角為(A)55°(B)175°(C)355°(D)235°。
7. 已知 A 點橫坐標為 215.00m,AB 水平距離為 80.00m,AB 之方位角 ψAB=285°,則 B 點橫坐標為(A)127.29m (B)137.73m(C)235.71m(D)292.27m。
8. 已知 A 點縱座標為 215.00m,AB 水平距離為 80.00m,AB 之方位角為 285°,則 B 點縱座標為(A)127.29m(B)13 7.73m(C)235.71m(D)292.27m。
9. 交弧法之觀測量為(A)四個角度(B)二個角度(C)一個角度及一邊長(D)二邊長。
10. 一正三角形 ABC,三點依順時針排列,若 AC 之方位角為 225°,則 BC 之方位角為(A)345°(B)105°(C)165°(D)285°。
11. 導線 AB 邊與 BC 邊所成之順時針角為 230°23',則 AB 邊與 BC 邊所成之偏角為(A)50°23'(R)(B)50°23'(L)(C)129° 37'(R)(D)129°37'(L)。
12. 已知導線之折角,欲推算各邊之方位角,應先知起算邊之(A)坐標(B)方位角(C)偏角(D)垂直角。
13. 三角形閉合導線,已測得各點之偏角如下,如有閉合差時,則各角之改正數應為
(A)-1"(B)+1"(C)-2"(D)+2"。
14. 令右偏角為正,左偏角為負。閉合導線偏角值之總和,應等於(A)±90°(B)±180°(C)±270°(D)±360°。
15. 測線 AB 長 100m,方位角為 150°,若 A 點之 EN 座標為(1000m,500m),E 表橫座標,N 表縱座標,則 B 點 之(E,N)座標應為(A)(1050m,413m)(B)(950m,587m)(C)(1087m,450m)(D)(913m,550m)。
16. 一閉合導線 ABCDE 依順時針方向進行,觀測 C 點之夾角時,若以 B 為零方向,所測出之角度為(A)多邊形 之內角(B)多邊形之外角(C)BC 之方位角(D)CB 之方位角。
17. 導線 ABC 依順時針方向前進,設 AB 之方位角為 60°,B 點之偏角為 30°(R),則 BC 之方位角為(A)120°(B)270° (C)30°(D)90°。
18. 一導線之縱橫距閉合差分別為 3cm 及 4cm,導線之總邊長為 550m,則此導線之閉合比數為(A)1/110(B)1/1100 (C)1/11000(D)1/550。
19. 輻射法測量,邊長為 100m,角誤差為 20 秒時,其橫(側)向偏差量為(A)1cm(B)0.1cm(C)0.01cm(D)10cm。
20. 附合導線 AB1CD,其中 ABCD 為已知點,方位角 ψAB=200°30'30",ψCD=357°58'15",各點之折角值如下表, 15 其角度閉合差為
(A)+2'40"(B)-2'40"(C)+4'30"(D)-4'30"。
21. 一導線各點之折角經平差後之值如下表,今已知點 1 至點 2 之方位角為 215°16'47",則點 2 至點 3 之方位角 為
(A)6°41'24"(B)243°52'10"(C)109°11'18"(D)353°03'28"。
22. 設導線有 N 個折角,則該導線的角度閉合差限度為(其中 C 為常數)
23. 導線閉合差之計算公式為
,式中 W
E
表橫距閉合 差,W
N
表縱距閉合差,[L]表導線長度總和。
24. 導線選點以何者為先決條件(A)邊長約相等(B)展望良好(C)便於測圖(D)能與前後兩點通視。
25. 一導線之縱距閉合差為 10cm,橫距閉合差為 12cm,導線之全長為 2500m,則該導線之閉合比數為(A)1/1600 0(B)1/11363(C)1/2083(D)1/2000。
26. 設導線之橫距閉合差為W
E
,縱距閉合差為W
N
,導線之總長為[L],則導線閉合比數計算公式為
27. 三角形之內角為 A=60°,B=78°,C=42°,ABC 按順時針方向排列,若 CA 之方位角為 60°,則 AB 方位角為(A) 120°(B)138°(C)102°(D)180°。
28. 已知三角形三內角 A、B、C,及角 B 之對邊 b,則角 A 對邊等於
29. 四邊形如下圖示,其中角度 1 至 8 為平差後之角度,其邊條件方程式為下
列何者?
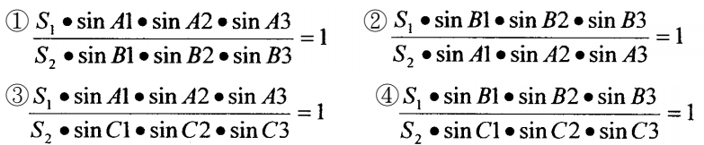
30. 一單三角鎖如下圖示,已知 AB 邊長為 S
1
,DE 邊長為 S
2
,其中角度 A1 至 A3、B1 至 B3 為平差後之角度, 則基線條件長條件方程式為
31. 如下圖,設 C 為標石中心,B 為經緯儀中心,e 及 φ 為歸心元素,則水平角 a 等於
(A)r+x
1
+x
2
(B)r+x
1
-x
2
(C)r-x
1
+x
2
(D)r-x
1
-x
2
。
32. 如下圖,設 C 為標石中心,B 為經緯儀中心,e 及 ψ 為歸心元素
, ,已知 S
1
及 S
2
,則水 平角 X1等於:(式中 ρ"=206265")
33. 三角形 ABC,已知 AB 邊長 1000.000m,又測得∠A=60°,∠B=45°,則 AC 邊長為多少 m?(A)732.051(B)816.4 97(C)896.575(D)1360.025。
34. 如下圖之三角鎖,AB 及 DE 之方位角均為已知,其中角度 C1 至 C3 平差後之角度,則方位角條件為
(A) φ
AB
-φ
DE
+C1-C2+C3+180°=0
(B)φ
DE
-φ
AB
+C1-C2+C3+180°=0
(C)φ
AB
-φ
DE
-C1+C2-C3+180°=0
(D)φ
DE
-φ
AB
-C1+C2+C3+180°=0 。
35. 三角形三內角為:∠A=60°,∠B=55°,∠C=65°。已知∠A 對邊 a=800.000m,則∠B 對邊 b 等於(A)723.067m (B)756.700m(C)764.443m(D)837.211m。
36. 三角測量中,觀測得三角形三內角為∠A=30°28'39",∠B=78°18'28",∠C=71°12'44",則各角度之改正數應為 (A)-9"(B)+9"(C)-3"(D)+3"。
37. 五邊形之多邊形全網,其平差條件有(A)六個角條件(B)一個邊條件(C)一個邊條件,六個角條件(D)三個角條件, 三個邊條件。
38. 已知 A、B 兩點(E,N)座標為 A(0.000m,0.000m);B(200.000m,300.000m),E 表橫座標,N 表縱座標,則 A B 之水平距離等於(A)500.000m(B)360.555m(C)250.000m(D)180.278m。
39. 已知 A、B 兩點(E,N)座標為 A(0.000m,0.000m);B(200.000m,300.000m),E 表橫座標,N 表縱座標,則 A B 之方位角等於(A)236°18'36"(B)213°41'24"(C)56°18'36"(D)33°41'24"。
40. 三角網邊長之計算係利用(A)正弦定律(B)正切定律(C)正弦半角公式(D)餘弦半角公式。
41. 設一半網如下圖示,觀測三角形各內角,∠ADF,及基線
,其平差條件有
(A)六個角條件(B)一個基線 條件,五個角條件(C)一個基線條件,四個角條件(D)二個基線條件,四個角條件。
42. 下列有關導線測量之敘述,何者為正確?(A)n 邊形閉合導線之內角和應等於(n-2)×180°(B)四邊形閉合導線應 觀測 8 個內角(C)測角之精度要低於量距之精度(D)導線測量祇能作高程控制。
43. 下列有關導線測量之敘述,何者為錯誤?(A)在兩已知三角點間佈置一附合導線,該導線之橫距和應等於兩 三角點之橫座標差(B)閉合導線之橫距和應等於零(C)閉合導線之精度以平面閉合差表示(D)導線測量亦可用羅 17 盤儀及卷尺施測。
44. 圖形為四邊形附對角線之三角測量,應測之水平角數為(A)4(B)8(C)10(D)12。
45. 一單三角鎖如下圖所示;若已知 AB 及 DE 之方位角為 φ
AB
及 φ
DE
,其方位角閉合差 ω 之計算式為
(A)ω=φ
AB
-φ
DE
+180°-C1+C2-C3
(B) ω=φ
DE
-φ
AB
+180°-C1+C2-C3
(C)ω=φ
AB
-φ
DE
-C1+C2-C3
(D) ω=φ
DE
-φ
AB
-C1+C2-C3。
46. 已知三角形各內角為:∠A=84°18'25",∠B=47°07'56",∠C=48°33'45",則該三角形之閉合差為(A)+2"(B)-2" (C)+6"(D)-6"。
47. 設 AB 方位角為 45°00'00",BC 方位角 135°00'00",則在 B 點以 A 為後視,C 為前視所成之順時針角為(A)90° 00'00"(B)180°00'00"(C)270°00'00"(D)315°00'00"。
48. 輻射法測距與測角精度應互相配合,如量距精度為 1/10000 時,相當之測角精度約為(A)10"(B)20"(C)30"(D)40"。
49. 如下圖示,AB 方位角為 140°,B 角為 120°,C 角為 230°,則 CD 之方位角為(A)110°(B)120°(C)130°(D)140°。
50. 如下圖示,AB 方位角為 150°,B 角為 110°,C 角為 220°,則 CD 之方位角為
(A)110°(B)120°(C)130°(D)140°。
51. 如下圖示,四邊形中之八角皆已測出,則其獨立角條件計有
(A)2(B)3(C)4(D)5 個。
52. 已知 AB 點之座標為(E
A
,N
A
),(E
B
,N
B
),E 表橫座標,N 表縱座標,則 AB 之方位角為
53. 計算方位角時,已知 A、B 點橫坐標差△E 為負(B 減 A),縱坐標差△N 為正(B 減 A),則 AB 線之方位角應 在(A)0°~90°間(B)90°~180°間(C)180°~270°間(D)270°~360°間。
54. 施行水準測量,由 A 測至 C,測線長 2km,得 C 點高程值為 50.010m。由 B 測至 C,測線長 1km,得 C 點 高程值為 50.020m。則 C 點高程之最或是值為(A)50.014m(B)50.015m(C)50.017m(D)50.018m。
55. 施行水準測量,由 A 測至 C,測線長 2km,得 C 點高程值為 50.010m。由 B 測至 C,測線長 4km,得 C 點 高程值為 50.020m。則 C 點高程之最或是值為(A)50.013m(B)50.015m(C)50.017m(D)50.018m。
56. 做偏心觀測時,需另加測歸心元素偏心距 e 及偏心角 r,對於 e 及 r 值(A)e 值愈大愈好,r 值不限制(B)e 值愈 小愈好,r 值不限制(C)e 值愈小愈好,但 r 應小於 90°(D)e 值愈小愈好,但 r 值應小於 180°。
57. 如下圖示,一多邊三角網,其中角度 1 至 9 為平差後之角度,則其邊條件方程式為
58. 一多邊三角網,共測得 9 角如下圖示,則其角條件數(含測站條件)為(A)3(B)4(C)5(D)6 個。
59. 三角測量中之水平角觀測方法是採用(A)外角觀測法(B)偏角觀測法(C)方向觀測法(D)方位角觀測法。
60. 導線測量有關之原理中,下列何者錯誤?(A)閉合導線外角和為 360 度(B)距離與角度的不夠準確,是引起導 線測量誤差的主要原因(C)為考慮導線之精度,導線邊長宜均勻(D)導線測量時,前後點位應相互通視。
61. 下列控制測量之方法,何者成果精度最佳?(A)三角測量(B)三邊測量(C)三角三邊測量(D)閉合導線測量。
62. 輻射法測角精度±10",若測角與測距之精度應配合,當距離 100m 時,測距標準誤差應等於(A)±0.5cm(B)±1c m(C)±2cm(D)±3cm。
63. 五邊形閉合導線,外角和應等於(A)360°(B)540°(C)900°(D)1260°。
64. 五邊形閉合導線,偏角和應等於(A)360°(B)540°(C)900°(D)1260°。
65. 若導線測量之縱距閉合差 W
N
及橫距閉合差 W
E
太大時,假設只有一個邊長量錯,應檢查下列何一方向及其 相反方向之邊長?
66. 如下圖示,設 C 為標石中心,B 為經緯儀中心,e 及 ψ 為歸心元素,
,已知 S
1
及 S
2
,則 水平角 x
2
等於:(式中 ρ"=206265")
67. 導線 A、B、C 三點,設 AB 之方位角為 160°,B 點之左偏角為 30°,則 BC 之方位角為(A)130°(B)190°(C)310°(D) 330°。
68. 已知 AB 邊與 BC 邊所成之順時針角為 130°23',則 AB 邊與 BC 邊所成之偏角為(A)50°23'®(B)50°23'(L)(C)49°37' ®(D)49°37'(L)。
69. 計算方位角時,已知 A、B 點橫坐標差△E 為正(B 減 A),縱坐標差△N 為負(B 減 A),則 AB 線之方位角應 在(A)0°~90°間(B)90°~180°間(C)180°~270°間(D)270°~360°間。
70. 下列 GPS 衛星測量方法中,何者之觀測時間最長?(A)動態定位測量(B)快速靜態定位測量(C)靜態定位測量(D) 即時動態(RTK)定位測量。
71. 下列 GPS 衛星測量方法中,何者之精度最高?(A)動態定位測量(B)半動態定位測量(C)靜態定位測量(D)即時動 態(RTK)定位測量。
72. 以 a 表座標轉換,b 表 GPS 基線計算,c 表 GPS 網形平差,則 GPS 靜態觀測之處理程序為(A)abc(B)bca(C)cab (D)cba。
73. 幾何高與正高之差值,稱為(A)正高改正(B)力高改正(C)高程差(D)大地起伏。
74. 民國 88 年 9 月 21 日地震後,三角點位移嚴重,應採用下列何種測量方法,以在最短時間內檢測三角點? (A)GPS 測量(B)三角測量(C)三角三邊測量(D)精密導線測量。 19
75. GPS 系統之 24 顆衛星分佈於幾個軌道面上?(A)3(B)4(C)6(D)8。
76. GPS 採用下列何種座標系統?(A)WGS84(B)WGS80(C)WGS48(D)TWD67。
77. 台灣地區之大地基準係採用(A)WGS84(B)WGS80(C)WGS48(D)TWD97。
78. GPS 衛星繞行地球一周之時間約為(A)6 小時(B)12 小時(C)24 小時(D)48 小時。
79. GPS 定位測量時,衛星在下列哪一位置時,對流層之影響最小?(A)仰角 10 度(B)天頂(C)仰角 45 度(D)與衛星 高度無關。
80. 下列關於 GPS 衛星定位測量之概念,何者錯誤?(A)可提供全天候導航與定位(B)可提供即時連續導航與定位 (C)可全天候授時(D)目前僅提供北半球地區定位測量。
81. 導線測量時,由於測量水平角及邊長的誤差,將導致(A)垂直角閉合差(B)高程閉合差(C)平面座標閉合差(D)基 線條件閉合差。
82. 下列何者不為導線之檢查條件?(A)方位角或水平角度閉合條件(B)橫座標閉合(符合)條件(C)垂直角度閉合條 件(D)縱座標閉合(符合)條件。
83. 以全測站經緯儀施行導線測量,如欲同時求得導線點的高程,最經濟有效的方法為(A)直接水準測量(B)三角 高程測量(C)氣壓計高程測量(D)視距法高程測量。
84. 導線點也可稱為(A)三角點(B)圖根點(C)水準點(D)GPS 衛星點。
85. 下列何者不含檢查條件?(A)附合導線(B)自由導線(C)閉合導線(D)導線網。
86. 有一封閉之五邊形 ABCDE,假設各內角均已改正,∠A=117°36'00",∠B=90°32'00",∠C=142°54'00",∠D= 132°18'00",則∠E 應為(A)126°20'00"(B)86°40'00"(C)66°20'00"(D)56°40'00"。
87. 測站 A 至 B 之方位角為 50°,測站 B 至 C 之偏角為 50°R,求測站 C 至測站 B 之方位角為(A)50°(B)230°(C)280° (D)100°。
88. 有一閉合導線共 5 個導線點,今測得外角總和為 1260°00'45",則各角之改正數為(A)+9"(B)ϊ9"(C)+7"(D)ϊ7"。
89. 使用雙頻道之 GPS 衛星接收儀,主要目的在消除(A)週波未定值誤差(B)多路徑誤差(C)對流層誤差(D)電離層誤 差。
90. GPS 衛星定位測量中,L1 觀測量調制了下列何種電碼?(A)C/A 碼(B)P 碼(C)C/A 碼及 P 碼(D)M 碼。
91. GPS 衛星定位系統中,GPS 衛星距離地表高度約為(A)1100km(B)11000km(C)2200km(D)20200km。
92. 利用 GPS 衛星定位測量,欲得到三度空間位置至少需接收幾個衛星?(A)二個(B)三個(C)四個(D)五個。
93. GPS 衛星定位測量各種誤差中,下列何者不屬於信號傳播誤差?(A)電離層誤差(B)對流層誤差(C)多路徑誤差 (D)衛星星曆誤差。
94. GPS 衛星定位系統中,載波 L1 頻率之波長為(A)0.19m(B)1.9m(C)19m(D)190m。
95. GPS 衛星測量,信號由衛星傳遞至地面過程中,對流層折射的影響在下列何種角度最小?(A)高度角 90°(B)高 度角 60°(C)高度角 45°(D)高度角 15°。
96. GPS 衛星定位系統,是利用何種電波測量?(A)雷射波(B)光波(C)紅外線(D)無線電波。
97. 有一導線全長 1762m,E 方向閉合差 W
E
=0.196m,N 方向閉合差 W
N
=0.297m,則導線閉合比數為(A)1/2500(B)1 /3600(C)1/4900(D)1/7100。
98. 導線測量之目的為(A)測導線點之夾角(B)測兩導線間之距離(C)求得控制點之坐標(D)求得控制點之高程。
99. 三角測量為(A)點(B)線(C)面(D)空間 狀的控制測量。
100. 導線測量為(A)點(B)線(C)面(D)空間 狀的控制測量。
申論題 (0)
相關試卷
114年 - 04202 測量─工程測量 乙級 工作項目 06:儀器檢校 1-57(2025/10/28 更新)#132667
114年 · #132667
114年 - 04202 測量─工程測量 乙級 工作項目 05:應用測量 101-143(2025/10/28 更新)#132666
114年 · #132666
114年 - 04202 測量─工程測量 乙級 工作項目 05:應用測量 51-100(2025/10/28 更新)#132665
114年 · #132665
114年 - 04202 測量─工程測量 乙級 工作項目 05:應用測量 1-50(2025/10/28 更新)#132664
114年 · #132664
114年 - 04202 測量─工程測量 乙級 工作項目 04:地形測量 51-101(2025/10/28 更新)#132663
114年 · #132663
114年 - 04202 測量─工程測量 乙級 工作項目 04:地形測量 1-50(2025/10/28 更新)#132662
114年 · #132662
114年 - 04202 測量─工程測量 乙級 工作項目 03:控制測量 151-202(2025/10/28 更新)#132661
114年 · #132661
114年 - 04202 測量─工程測量 乙級 工作項目 03:控制測量 101-150(2025/10/28 更新)#132660
114年 · #132660
114年 - 04202 測量─工程測量 乙級 工作項目 03:控制測量 51-100(2025/10/28 更新)#132659
114年 · #132659
114年 - 04202 測量─工程測量 乙級 工作項目 03:控制測量 1-50(2025/10/28 更新)#132658
114年 · #132658