所屬科目:研究所、轉學考(插大)-微積分
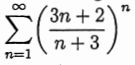
1. Find the critical number of y = .Answer:________
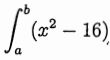
2. Determine the limits of integration where a ≤ b such thatdx has minimal value. Answer:________
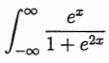
3. Evaluate dx. Answer:_______
5. Find the surface area of the portion of the plane z = 4 - 2x - 2y that lies above the circlex2+y2≤1 in the first quadrant. Answer :__________
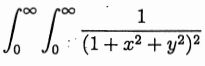
7. Evaluate the integraldxdy. Answer:___________
8. Use a change of variables to find the volume of the solid region lying below the surface and above the plane region R : region bounded by the parallelogram with vertices (0,0),(1,1), (5,0) and (4, -1): Answer:____________
b. (6分)
3. Find the maximum value of dy, where C is any circle in the xy-plane, oriented counterclockwise.