所屬科目:統測◆02動力機械群◆(二)電工概論與實習、電子概論與實習
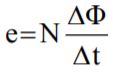
2. 若N為線圈之匝數,Φ 為磁通量,t為時間,e為感應電動勢,則下列敘述何者錯誤? (A) 公式 表示安培右手定則(Ampere’s right- hand rule ) (B) 公式,其中負號表示冷次定律(Lenz’s law) (C) 弗萊明右手定則(Fleming’s right- hand rule )中導體運動方向、磁力線方向與導體產生的 感應電動勢方向均須互相垂直 (D) 弗萊明左手定則(Fleming’s left- hand rule )中導體被推動方向、磁力線方向與導體電流 方向均須互相垂直
7. 已知一單相交流電路,電源之電壓為 v(t) = 500 sin377t V,電源之電流為,則下列敘述何者正確? (A) 電流超前電壓 30 (B) 功率因數為 0.866 (C) 電源頻率為 50Hz (D) 平均功率為5000W
8. 如圖(一)所示之 RLC 串聯電路,電壓源 ,下列何者正確? (A) 電路阻抗為 30Ω (B) 電路功率因數為 0.8 (C) 電源電流 為 A (D) 電路消耗功率為 10 kW
11. 一部繞組為△ 型連接之三相交流發電機,下列關於其輸出電壓及電流之敘述何者正確? (A) 相電壓為線電壓的倍 (B) 線電流為相電流的 倍 (C) 相電流等於線電流 (D) 線電壓為相電壓的 倍
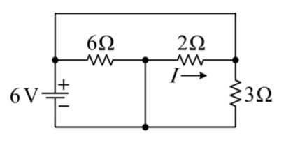
16. 如圖(二)所示電路,流經 10Ω 電阻的電流 I 為何? (A) 0A (B) 1A (C) 2A (D) 3A
17. 如圖(三)所示電路,a、b 兩端的等效電阻為何? (A) 3Ω(B) 2Ω (C) 1Ω (D) 0.5Ω
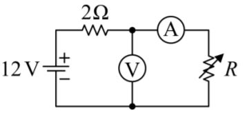
18. 如圖(四)所示之直流量測電路,其中為理想直流電壓表,為理想直流電流表。求當 可變電阻 R 調至多少歐姆時,電流表的安培讀值跟電壓表的伏特讀值會相同? (A) 0.5Ω (B) 1Ω (C) 2Ω (D) 4Ω
19. 如圖(五)所示電路,4V 電壓源所供給之功率為何? (A) 6W (B) 12W (C) 18W (D) 24W
20. 如圖(六)所示電路,流經 2Ω 電阻的電流 I 為何? (A) 2A (B) 3A (C) – 2A (D) – 3A
第二部份:電子概論與實習 ( 第21至40題,每題2.5分,共50分)21. 如圖(七)所示之雙極性電晶體電路,已知 IB遠小於 I2,則 VCE為何? (A) 2.2V (B) 3.2V (C) 4.2V (D) 5.2V
22. 如圖(八)所示之運算放大器實驗電路和輸入波形 Vi,則輸出電壓 Vo波形為何? (A) (B) (C) (D)
23. 如圖(九)所示之光控電路,VBE =0.7V,當完全遮住光敏電阻之受光時,下列敘述何者正確? (A) 電晶體導通,LED 不亮 (B) 電晶體導通,LED 亮 (C) 電晶體截止,LED 亮 (D) 電晶體截止,LED 不亮
24. 如圖(十)所示之電晶體偏壓電路,VBE =0.7V,若電晶體飽和時 VCE為零,則IC為何? (A) 28.6mA (B) 20.6mA (C) 15mA (D) 10mA
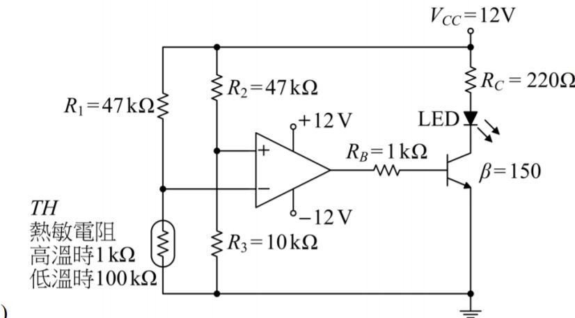
25. 如圖(十一)所示之汽車引擎室過熱警示器電路,下列敘述何者正確? (A) 熱敏電阻為正溫度係數,當熱敏電阻值為 100 kΩ 時 LED 亮 (B) 熱敏電阻為負溫度係數,當熱敏電阻值為 100 kΩ 時 LED 亮 (C) 熱敏電阻為正溫度係數,當熱敏電阻值為 100 kΩ 時 LED 不亮 (D) 熱敏電阻為負溫度係數,當熱敏電阻值為 100 kΩ 時 LED 不亮
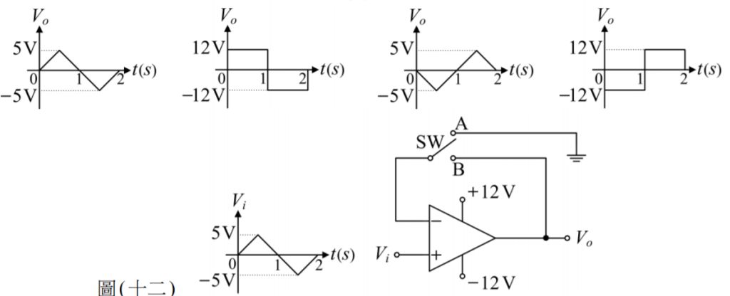
27. 如圖( 十二) 所示之運算放大器電路和輸入 Vi之波形,開關 SW 可切換至 A 點或 B 點,切換時 只考慮穩態情況,則下列輸出 Vo之波形何者正確? (A)當SW切換至A點時 (B)當SW切換至A點時 (C)當SW切換至B點時 (D)當SW切換至B點時
29. 如圖 ( 十三 )所示工作於作用區 ( 線性放大區 ) 之共射極電晶體放大電路,若 VBE = 0.7 V、 β=50、C1 =C2,則關於輸出電壓 vo與輸入電壓 vi之關係,下列敘述何者正確? (A) vo與 vi同相位,vo振幅大於 vi振幅(B) vo與 vi反相位,vo振幅大於 vi振幅 (C) vo與 vi同相位,vo振幅小於 vi振幅 (D) vo與 vi反相位,vo振幅小於 vi振幅
30. 如圖(十四)所示之矽控整流器(SCR),下列何種情況可使此 SCR 由閘極正常觸發導通?(A) VAK > 0 且 VGK > 0 (B) VAK < 0 且 VGK < 0 (C) VAK < 0 且 VGK > 0 (D) VAK > 0 且 VGK < 0
31. 如圖 ( 十五 ) 所示之達靈頓 ( Darlington ) 電路,若電晶體 Q1之 β 值為 100,電晶體 Q2之 β 值為 50,在正常工作時,若 Ib1=0.1mA,則電流 Ie2約為何? (A) 5mA (B) 15mA (C) 500mA (D) 1000mA
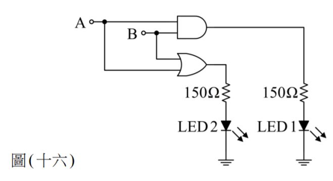
32. 如圖(十六)所示之正邏輯 TTL 電路,若輸入 A 接 5V,輸入 B 接 0V,正常工作時發光二極體 LED1 與 LED2 之狀態為何? (A) LED1 亮,LED2 亮 (B) LED1 亮,LED2 不亮 (C) LED1 不亮,LED2 亮 (D) LED1 不亮,LED2 不亮
33. 如圖(十七)所示之正邏輯閘電路,若輸出 Y=1,則輸入 A 和 B 之可能情況為何? (A) A=0,B=0 (B) A=0,B=1 (C) A=1,B=0 (D) A=1,B=1
35. 使用示波器測得一信號產生器之輸出電壓波形如圖 ( 十八 ) 所示,則此波形之函數可表示 為何? (A) sin 100 πtV (B) 10 sin 100 πtV (C) 10 sin 250 πtV (D) sin 250 πtV
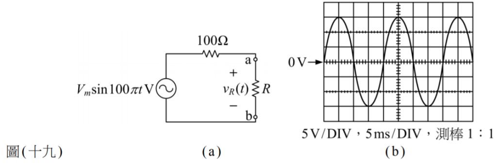
36. 如圖(十九)( a )所示之交流電壓量測電路,使用示波器測得 a、b 兩端之波形如圖(十九)( b ) 所示,當改用三用電表 ACV 檔量測 a、b 兩端電壓時讀值約為何? (A) 9.5V (B) 10.6V (C) 13.5V (D) 15.0V
39. 如圖(二十)所示之半波整流實驗電路,若忽略二極體順向壓降值,利用三用電表 ACV 檔 測得 a、b 兩端之電壓為 Vab,用 DCV 檔測得 c、d 兩端之電壓為 Vcd,則 約為何? (A)(B)(C) (D)
40. 如圖(二十一)所示之橋式整流實驗電路,若忽略二極體順向壓降值,當未接濾波電容 C (開關 SW OFF)時,用三用電表 DCV 檔測得 a、b 兩端電壓為 Vo1,接上濾波電容 C(開關 SW ON)時,用電表 DCV 檔測得 a、b 兩端電壓為Vo2,則 約為何? (A) 3.14 (B) 1.57 (C) 0.636 (D) 0.318