所屬科目:研究所、轉學考(插大)-微積分
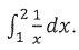
1. (12%) Compute xdx.
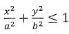
2. (12%) Find the area enclosed by the equation .
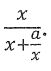
3. (12%) Compute dx.
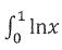
4. (14%) Use Simpson's rule with n=10 to approximately compute
1. (8%) Prove that limx→2(3x-1) = 5.
2.(8%) Show that the function is continuous on the interval [-2,2].
3. (8%) Show that the function f(x) = x2 - x + 1 is differentiable for
4. (8%) Suppose that f(0) = 0 and f'(x) ≥ 6 for .How small can f(100) possibly be? (Hint: the Mean Value Theorem)
7. (6%) Find y' if y=