所屬科目:研究所、轉學考(插大)-微積分
(a)C(x) =
(b)C(x) =
(c)C(x) =
(d)C(x) =
(e)C(x) =ln(7x4+9x2-3)
(a)
(b)
(a) Please write down the profit maximization problem. (5 分)
(b) What are the first order conditions for this maximization problem? (10 分)
(c) Please derive the factor demand function for labor (L) and capital (K). (10 分)
(a) Find the value of k that makes this a probability density function. (5 分)
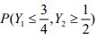
(b) Find
(c) Find the marginal density function for Y1 and Y2.
(d) Please find the expected value of Y1, E(Y1).