所屬科目:研究所、轉學考(插大)-微積分
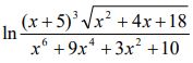
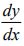
1. 若 y =, 則=_______。
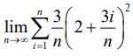
2.=_________。
3. 若= 1, 則=________。
4. ∫tan5x dx =________。
5. =__________。
6.=__________。
7. 若 h(x) = f(g(x))可微分, 且 g(2) = 3, g'(2) =, f'(3) = 27, 則 h'(2) =_________。
8. 若 f(x,y) = x²-y³-10x+12y+19, 則 f(x,y) 的相對極小值 =________。
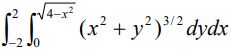
9. =_________。
10. 座標平面上拋物線 y² = 4x 與直線 4x-3y = 4 所圍成之區域面積 =_________。
二、計算題1. 若 y = , 其中 x > 0, 則= ?
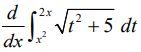
2. 求= ?
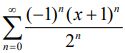
3. 找出冪級數的收斂區間, 並說明你的理由。
4. 求= ?