阿摩線上測驗
登入
首頁
>
研究所、轉學考(插大)-微積分
> 107年 - 107 國立暨南大學轉學生招生考試試題_經濟系二、財金系二:微積分#123360
107年 - 107 國立暨南大學轉學生招生考試試題_經濟系二、財金系二:微積分#123360
科目:
研究所、轉學考(插大)-微積分 |
年份:
107年 |
選擇題數:
0 |
申論題數:
12
試卷資訊
所屬科目:
研究所、轉學考(插大)-微積分
選擇題 (0)
申論題 (12)
1. Let f(x³ + x² + 2x + 1) = xex, Find f'(1) = ______
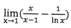
2.
= ______
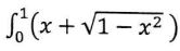
3.
(x² - x) dx = ______
4.
dx = ______
5. Evaluate the double integral
dA= ______, where R = {(x,y)|0 ≤ x ≤ 2, x² ≤ y ≤ 4}.
6. Find the volume of the solid bounded above by the surface z = f(x, y) and below by the plane region R. f(x, y) =
; R is the region bounded by y = 9
, y = 0, and x = 2.
Answer: ______
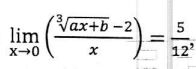
7. Suppose lim
, Find a+b= ______
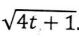
8. Let f(t) =
. Find f''(2)= ______
9. Find an equation for the tangent line to the graph of f(x) = x ln
at the point where x = 1. Answer: ______
10. Approximate the function f(x) = ln(x + 1) by a Taylor polynomial of degree 3 at x=0. Answer: ______
11. Determine the intervals where the function f(x) =
is decreasing. Answer: ______
二、計算題 (共 12 分, 沒有列出計算過程者不予計分)
1. (12%) Determine the intervals where the graph of the function f(x) = ln(x² + 1) is concave upward and where it is concave downward and find the inflection points of f.
相關試卷
114年 - 114 臺灣綜合大學系統_學士班轉學生考試試題:微積分A#137897
114年 · #137897
114年 - 114 臺灣綜合大學系統_學士班轉學生考試試題:微積分B#137819
114年 · #137819
114年 - 114 台灣聯合大學系統_學士班轉學生考試試題:微積分#137762
114年 · #137762
114年 - 114 台灣聯合大學系統_學士班轉學生考試試題:微積分#137761
114年 · #137761
114年 - 114 國立臺灣大學_轉學生招生考試_物理學系/土木工程學系/生物環境系統工程學系/生物機電工程學系:微積分(B)#137745
114年 · #137745
114年 - 114 國立臺灣大學_轉學生招生考試_數學系:微積分(A)#137744
114年 · #137744
113年 - 113 國立嘉義大學_轉學生招生考試試題_(全校):微積分#122986
113年 · #122986
112年 - 112 國立臺灣大學_碩士班招生考試題:微積分(D)#130254
112年 · #130254
112年 - 112 國立陽明交通大學_碩士班入學招生試題_統計學研究所﹕微積分與線性代數#130252
112年 · #130252
112年 - 112 國立嘉義大學_轉學生招生考試試題:微積分#123297
112年 · #123297