所屬科目:研究所、轉學考(插大)-微積分
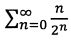
(1)
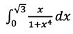
(2)
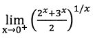
(3)
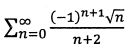
(4)
(5)
3.令O=(0,0),A=(1,1),B=(1,0),c=(41),求過C之一直線使其與∠AOB角 AOB)之兩邊所成的三角形面積最小。(8分)
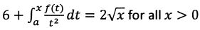
4. Find a function f(t) and a number a such that(7分)