所屬科目:研究所、轉學考(插大)-微積分
(b) Find the centroid of the region between the r-axis and the arch y = sint, 0 ≤ r ≤ π.Ans: =
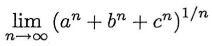
(d) Let a > b>c > 0. Find the limit:. Ans: =___________.
(e) Suppose. Then the coefficient =____________.
2. (10 pts) Let be a convergent series, where an an≥0. Does the series have to be convergent? Give reasons for your answer.
3. (10 pts) Does there exist a differentiable function f : R → R such that f(0) = 0 and f (f(x)) = x6+ x3-x for all t ? Give reasons for your answer.
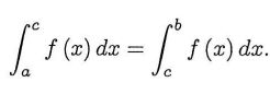
4. (12 pts) Let f : [a,b] →R be a continuous function. Prove that there exists a point c in [a, b] such that (Hint: Use the intermediate value theorem)
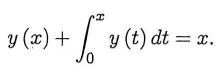
5. (12 pts) Solve the integral equation
6. (14 pts) Let f :R→ R be a differentiable function. Suppose that 0 ≤ f' (x) ≤ f(x) for all c . Show that g (x) = is decreasing. If f vanishes at some point, conclude that f is identically zero.