所屬科目:研究所、轉學考(插大)-微積分
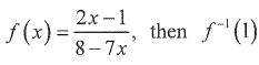
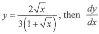
3. If =__(3)__.
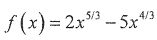
4.Let=__(4)__.
5. Let , then f is decreasing on the interval of__(5)__.
6. The absolute maximum value of on the interval of [0,∞) is __(6)__.
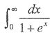
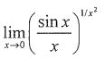
7. The value of is__(7)__.
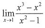
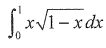
8. The value of=__(8)__.
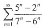
9. Does series converge or diverge?__(9)__.
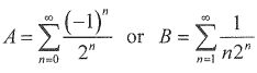
10. Is smaller?__(10)__
2. If y is a differentiable function of x satisfying equation=__(2)__.
3. The value of is__(3)__.
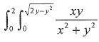
5. The value of dxdy is__(5)__.