所屬科目:研究所、轉學考(插大)-微積分
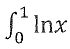
1. (12%) Compute xdx.
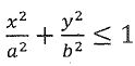
2. (12%) Find the area enclosed by the equation .
3. (12%) Compute dx.
4. (14%) Use Simpson's rule with n=10 to approximately compute
1. (8%) Prove that limx→2(3x-1)= 5.
2. (8%) Show that the function is continuous on the interval [-2,2].
3. (8%) Show that the function f(x) = x2 -x + 1 is differentiable for
4. (8%) Suppose that f(0) = 0 and f'(x) ≥6 for . How small can f(100) possibly be?
(Hint: the Mean Value Theorem)
7. (6%) Find y' if