所屬科目:研究所、轉學考(插大)-微積分
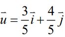
1. Find .
2. Find [tan x sec 2x )].
3. (x+y )sin y=0 . Determine .
4. Find ∫(x2+1)100xdx .
5. Find .
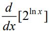
6. Find .
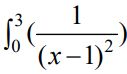
7. Finddx .
8. f(x,y)=xy+2x and . Please determine f (x , y)at (1, 1).
9. f (x ,y)=x siny+y. Find ∇f ( x, y).
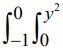
10. Find( xy )dxdy .