所屬科目:研究所、轉學考(插大)-微積分
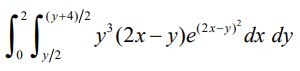
(1) (6%)
(2)(6%)
3. Use the transformation x=u+ v,y=v to evaluate the integral
by first writing it as an integral over a region G in the uy-plane.(13%)
4. Find the plane tangent to the surfaceat the point (-1,0,1).(12%)
5. Consider a curveΓ which is defined as the graph of f(x)=x2+2x in R2 . Find the length of between points(-1,-1) and(0,0) .(13%)
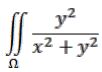
6. Evaluatedxdy whereΩ=(13%)
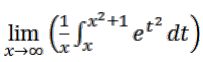
7. Use ratio test to determine whetheris convergent.(12%)
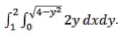
8. Interchange the order of integration and evaluate it (in any order you wish): (13%)