所屬科目:研究所、轉學考(插大)-微積分
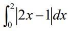
(a) (5%);
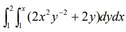
(b) (5%).
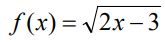
3.Find the inverse function of.(10%)
4.Find .(10%)
5.Find .(10%)
(a)∫e-xcos2xdx
(b)
(c)∫sec3xdx
(d)
8.Please find the first 3 nonzero terms of the Taylor series for f(x)=cosx centered at . (6%)
9.Please evaluate the value of .(6%)