所屬科目:高中指考◆數學甲
1. 設 A為 3×3矩 陣,且 對 任 意 實 數 a,b,c,均 成 立。試 問 矩 陣 為何? (A) (B) (C)(D) (E)
2. 坐標平面上,考慮 A(2,3) 與 B( −1,3) ,並設 O 為原點。令 E 為滿足的所有點 P 所形成的區域,其中 − 1 ≤ a ≤1, 0 ≤ b≤4 。考慮函數f(x)=x2+ 5,試問當限定 x為區域 E 中的點 P(x ,y ) 的橫坐標時, f (x ) 的最大值為 何 ? (A) 5 (B) 9 (C) 30 (D) 41 (E) 54
3. 某 零 售 商 店 販 賣「 熊 大 」與「 皮 卡 丘 」兩 種 玩 偶,其 進 貨 來 源 有 A , B, C 三家廠 商。已知此零售商店從每家廠商進貨的玩偶總數相同,且三家廠商製作的每 一種玩偶外觀也一樣,而從 A, B, C 這三家廠商進貨的玩偶中,「皮卡丘」所占 的比例分別為。阿德從這家零售商店隨機挑選一隻「皮卡丘」送給 小安作為生日禮物,試問此「皮卡丘」出自 C 廠商的機率為何? (A) (B) (C) (D)(E)
4. 設f (x)=-x2+499 , 且 試選出正確的選項。 (A) A表示在坐標平面上函數y=- x2+499的圖形與直線 y = 0、 x = 0 、 x =10 所 圍成的有界區域的面積 (B) B < C (C) B <A (D) C< D (E) A< D
5. 坐標平面上,已知直線 L與函數 y = log2 x 的圖形有兩個交點 P( a,b ),Q ( c,d ), 且 的中點在 x軸上。試選出正確的選項。 (A) L的斜率大於 0 (B) bd = −1 (C) ac =1 (D) L的 y 截距大於 −1 (E) L的 x截距大於 1
6. 坐標空間中,有 四個向量,滿足外積 的向量長度均為 4。 設向量的夾角為 θ (其中 0 ≤ θ ≤ π ),試選出正確的選項。 (A) (B)所張出的平行六面體的體積為 16 (C) 兩兩互相垂直 (D) 的長度等於 4 (E) 的夾角等於 θ
7. 設 O 為 複 數 平 面 上 的 原 點,並 令 點 A, B 分別代表複數 z1, z2 ,且 滿 足 |z1|= 2, |z2| = 3, ,其中 a , b為實數, 。試選出正確的選項。 (A) (B)(C) a > 0 (D) b > 0 (E) 設 點 C 代 表, 則 ∠BOC 可能等於
8. 設 f ( x ) 為一定義在非零實數上的實數值函數。已知極限存在,試選出正確的選項。 (A) 存 在 (B) 存 在 (C) 存 在 (D) 存 在 (E)→ 存 在
A. 坐標平面上,已知圓 C 通過點 P( − 0, 5),其圓心在 x = 2 上。若圓 C 截 x軸所成之弦 長 為 6,則其半徑為。(化成最簡根式)
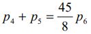
B. 假設某棒球隊在任一局發生失誤的機率都等於 p(其中 0< p < 1 ),且 各局之 間發生失誤與否互相獨立。令隨機變數 X 代表一場比賽 9 局中出現失誤的局 數,且令 pk 代 表 9 局中恰有 k 局出現失誤的機率 P(X=k) 。已知 , 則該球隊在一場 9 局的比賽中出現失誤局數的期望值為 。(化成最 簡分數)
C. 設 A ,B ,C ,D為圓上的相異四點。已知圓的半徑為,兩線段 互 相 垂 直,如 圖 所 示( 此 為 示 意 圖,非 依 實 際 比 例 )。則的長度為。 (化成最簡根式)
(2) 試證明向量 與平面 BDE 垂直。( 2 分 )