所屬科目:物理冶金
一、寫出下圖中 100 標準立體投影圖的未標明指標(a, b, c……i, j)。 有一 FCC 單晶受ㄧ拉力,其拉力軸為下圖 p 點,求出其主滑移系統 (primary slip system)、交叉(cross-slip)滑移系統、共軛(conjugate) 滑移系統、臨界面(critical plane)及最終拉力軸方向。改成受壓縮時, 其共軛滑移系統為何?(20 分)
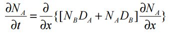
⑵導出費克第二定律(Fick’s second law): 其中 NA與 NB是 A 與 B 原子的原子分率,DA與 DB是 A 與 B 原子的本 質擴散係數(intrinsic diffusion coefficient),t 是時間,x 是位置。(10 分)
三、半徑 r 厚度 h 圓盤狀固體胚核(embryo)於液體中孕核(nucleation)在 模壁上,如下圖所示,計算此一異質孕核臨界圓盤胚核的半徑 r*、高度 h*、自由能差 ΔG*。(以體積化學自由能改變(volume chemical free energy change Δgv)、邊面表面能(side surface energy γr)、端面表面能(edge surface energy γh)來表示)。再計算均質(homogeneously)孕核同樣尺 寸臨界圓盤胚核的半徑 r*、高度 h*、自由能差 ΔG*。(20 分)