所屬科目:物理冶金
⑵在 FCC 晶體平面中,有一 1/2[110]全差排(total dislocation)可 分解成那一對 1/6<112> 部分差排(partial dislocation)?證明此對部 分差排的能量低於全差排;解釋此對部分差排為何會維持大略固定的 間距?(15 分)
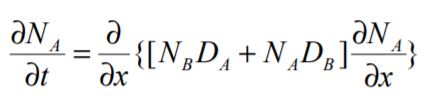
⑵舉例說明如何利用馬他諾法(Matano method)求得會隨成分而變的本 質擴散係數(intrinsic diffusivity)DA 與 DB。(15 分) 提示:費克擴散第二定律為: 其中 NA 與 NB 是 A 與 B 原子的原子分率,DA 與 DB 是 A 與 B 原子的 本質擴散係數(intrinsic diffusion coefficient),t 是時間,x 是位置。
⑴繪圖並說明FCC 的(111)平面上的1/6雙晶化差排 (twinning dislocation) 如何產生 5 層原子面厚度的鏡面對稱雙晶,再計算其雙晶剪移量。 (11 分)