所屬科目:研究所、轉學考(插大)-微積分
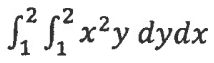
1.Find (10%)
2.Find the volume of the solid obtained by rotating the region bounded by the following curves about the X-axis: (10%) y =|x+2|,y=0,x=-3,x=0
3.Evaluate (10%)
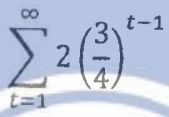
4.Determine whether the following series is convergent, If it is, find its sum. (10%)
7.Find the area of the region inside the circle r = 3 cos θ and outside the cardioid r = 1 + cosθ (10%)
8. Solve the following differential equation:
9. Find (10%)
10. Find (10%)