阿摩線上測驗 登入

107年 - 107 東吳大學_暑假轉學生招生考試_數學系三年級:微積分#105420

科目:研究所、轉學考(插大)-微積分 | 年份:107年 | 選擇題數:0 | 申論題數:19

試卷資訊

所屬科目:研究所、轉學考(插大)-微積分

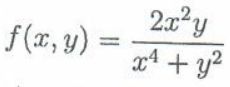
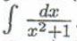
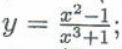
選擇題 (0)