所屬科目:研究所、轉學考(插大)◆線性代數
1.若矩陣A,B可逆且AB=BA,請證明
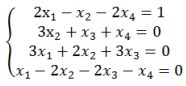
2.利用Cramer則方式組
3.(1)求矩陣的反矩陣。
(2)求矩陣的反矩陣
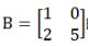
4.含 找出 null space of B.
9.T:R2→R2為T(x,y)=(x+y,2x),B=fa,b]為標準有序基底, 求=?
10. 令為性聘换,其對應之基底為, ,請找出其轉換基底為之T* 線性轉換。
11.求矩陣之 eigenvalues 和 eigenvectors.