所屬科目:研究所、轉學考(插大)-微積分
1. (10%) ?
6. (10%)= ?
7. (10%) = ?
8. (10%) Find f(2) , if
9. (10%) ?
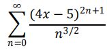
10.(10%) Find the interval of convergence of the series