所屬科目:研究所、轉學考(插大)-微積分
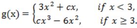
1. For what value of the constant c is the function g continuous on (-∞,∞)?
2. Find the first derivative of the following function:
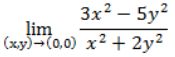
4. Show that does not exist.
5. Find the extreme values of on the region described by the inequality:
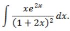
7. Evaluate the integral
8. Evaluate the integral
9. Find the integral