所屬科目:研究所、轉學考(插大)-微積分
(1)若 f(x)=x|x|,請求出f'(0)(5分)
(1)若f(x)=8x3-1,請求出(5分)
(2)請推導(5分)
3.請證明 (10分)
4. 請證明為發散級數(10分)
(1) (5分)
(2) (5分)
6.請證明: (10分)
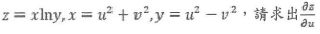
(1)若(5分)
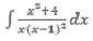
(2)若(5分)
8.請利用泰勒多項式至8次方,求出的近似值(10分)
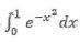
9.請計算(10分)
10.請計算(10分