阿摩線上測驗
登入
首頁
>
研究所、轉學考(插大)-微積分
> 107年 - 107 東吳大學_碩士班招生考試_企業管理學系(C組):微積分#107290
107年 - 107 東吳大學_碩士班招生考試_企業管理學系(C組):微積分#107290
科目:
研究所、轉學考(插大)-微積分 |
年份:
107年 |
選擇題數:
0 |
申論題數:
14
試卷資訊
所屬科目:
研究所、轉學考(插大)-微積分
選擇題 (0)
申論題 (14)
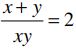
1. 某商品的供給函數與需求函數分別為 S ( p ) = 4 p + 200 和 D( p) = −3 p + 480 ,求平衡價 格及平衡量各為何? (10%)
(a) f ( x ) = (2 x + 1) ( x
3
+ 2 x + 1)
(b)f(x)=
(a) 設 z = ( x + 1)
3
且 x = t
2
+ 1 ,求
。
(b) 求
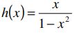
4. 相對極值與凹性 (10%)
令
, 求函數h( x )之反曲點與圖形之凹性。
(a)
(b)
6. 某一公司每天銷售 x 單位產品時,其利潤為 P = − x
2
+ 500 x 元。若銷售量之成長率為每天 10 個單位,試問當銷售量為 200 單位時,其利潤之成長率為何?(10%)
7. (10%) 求下列不定積分:
8. (10%) 求出曲線下與給定的 X 範圍所形成區域的面積:
f ( x) = 5x
2
+ 3 x − 2 ,範圍 x = 1 至 x = 2
(a) 求生產電腦的邊際利潤函數,求 x = 250 與 y = 300 之值,並解釋其意義。
(b) 求生產鍵盤的邊際利潤函數,求 x = 250 與 y = 300 之值,並解釋其意義。
10. (10%) 求以下函數的相對極大值、相對極小值或鞍點:
f ( x, y ) = 5x
2
+ y
2
− 10 x − 6 y + 15