所屬科目:水資源工程學
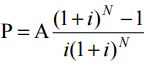
三、某城市面對旱季給水、電力的需求增加、居民遊憩設施及減少沿岸居民 的洪災威脅等要求。今擬建造一洪災消滅、給水、發電及遊憩的多目標 水庫為替代方案之一。水庫建造費估計為 4,050 萬元,營運維護費用為 每年 50 萬元。經估算效益包括每年 90 萬元的遊憩效益,70 萬元發電收 益,40 萬元給水效益等,另每年可獲得 100 萬元的洪災消減基金。水庫 壽命預定 50 年,效益發生於完工後第一年。資金利息為 5%,請估算此 替代方案的淨效益與益本比。(20 分) 參考公式:現值為;式中 A 為年值。
四、城巿委員會欲建一小溪土壩,其成本為 500 萬元,為保護土壩需做溢洪 道。根據當地的歷史洪水資料分析後,得知每年有 0.25 機率出現一次或 多次嚴重洪水,有 0.10 機率出現超大洪水。大、小兩種溢洪道在該兩類 洪水中損壞的估計機率如下:若溢洪道在嚴重或超大洪水下失去排洪效用,則土壩將潰決,其修復費 為原壩的 500 萬元,但修復費外需要再加上洪災損失。據估計因嚴重洪 水有 70%和 30%產生 100 萬元和 300 萬元的災損,而超大洪水則有 70% 和 30%產生 300 萬元及 500 萬元災損。請基於較小的期望支出,建議該 委員會建 300 萬元的大溢洪道?還是 200 萬元的小溢洪道?(20 分)