所屬科目:技檢◆電力電子-甲級
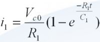
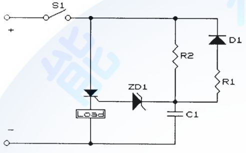
1. 下圖所示之電路,R1 之作用為何?(A)SCR 導通角之控制(B)抑制閘流體之雜訊(C)限制電容 C1 之放電 電流的大小(D)吸收電源之湧浪電壓。
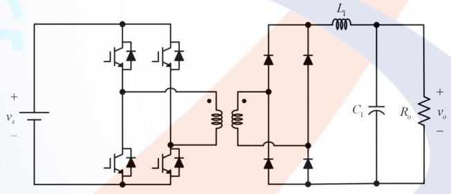
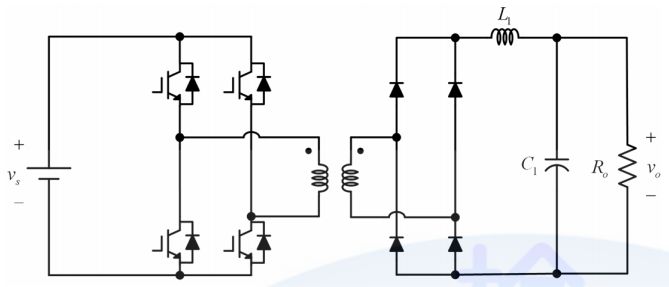
3. 如下圖所示,此功率轉換器的主要功能為(A)直流-直流功率轉換用(B)交流-交流功率轉換用(C)三相變頻器用(D)交流-直流功率轉換用。
4. 一直流降壓式轉換器之電路如下圖所示,設電路由理想元件組成,並操作於穩定狀態。若開關切換 頻率為 100kHz,Vs=10V,Vo=8V,R=40Ω,L=100μH,Vo 之瞬時值不小於零,則電容最小為多少 nF?(A)10(B)4.7(C)12.5(D)12。
9. 如下圖所示,其電感 L1 及電容 C1 的功能敘述何者正確?(A)作為變頻器使用(B)作為低通濾波器用(C)作為整流器用(D)作為電流調節器用。
10. 下圖中負載吸收之最大功率為多少瓦特?(A)1400W(B)800W(C)1200W(D)600W。
11. 下圖所示電路中,RC 電路為避免 SCR 發生(A)過大電流變化率(B)過電流(C)過電壓(D)過大電壓變化率。
13. 下圖中的開關以固定的時間來回切換,試問其是何種振盪器?(A)方波振盪器(B)正弦波振盪器(C)三角波振盪器(D)脈波振盪器。
15. 一直流降壓式轉換器之電路如下圖所示,設電路由理想元件組成,並操作於穩定狀態,Vs=10V, R=40Ω,Vo=8V。若開關切換頻率為 50kHz,電感電流為連續,則電感最小為多少 μH?(A)100 (B)80(C)90(D)70。
21. 下圖(a)中的 LED 所發出光線的特性如圖(b)所示。忽略 LED 的順向電壓,試求產生的輻射(光線) 功率,單位為 mW,下列何者正確?(A)20mW(B)80mW(C)40mW(D)60mW。
23. 下列之布林代數運算何者錯誤?(A) (B) (C) (D)
24. 下圖所示電路中,每一線段代表一電阻,則 I 為多少安培?(A)4(B)6(C)5(D)3。
26. 下圖所示之截波器電路中,輸入電壓 Vs=200V,切換頻率 fs=10kHz,若電晶體延遲時間=0, 上升時間=3μs,下降時間為=1.2μs,且負載流 i=100A,則之值應為多少?(A)0μH(B)70 μH(C)6μH(D)80μH。
31. 如下圖所示,二極體為理想特性,若開關 在時間 t=0 時導通,且電容的端電壓初值為 ,則電流 的響應為何?(A) (B) (C) (D)
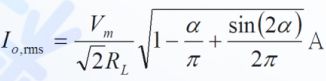
33. 下電路圖中的電流i之有效值為(A)2A(B)1.414A(C)0.707A(D)1A。
34. 一直流降壓式轉換器之電路如下圖所示,設電路由理想元件組成。若開關切換頻率為 100kHz,責任週期 D 為 0.5,Vs= 40V,R=10Ω,L=20μH,Vo 為多少 V?(A)20(B)30(C)18.5(D)21.5。
39. 下圖所示之電路,其中兩個 SCR 之耐壓的選擇為何?(A)無特定之規則(B)SCR1=SCR2(C)SCR1>SCR2(D)SCR1<SCR2。
40. 下圖所示之高通濾波器電路,當輸入正弦波之頻率恰等於此電路之-3dB 頻率時,則輸出波形之相 位比輸入波形為(A)領先 90°(B)領先 45°(C)落後 45°(D)落後 90°。
43. 下圖所示之電路,其中主控 SCR 之導通延遲時間為何?(A)以 SCR1 為準(B)以 SCR2 為準(C)SCR1+SCR2(D)SCR1-SCR2。
45. 下圖所示之符號,為何種元件之圖示符號?(A)GTO(B)Darlington Power Transistor(C)SCR(D)IGBT。
47. 一直流升降壓式轉換器之電路如下圖所示,設電路由理想元件組成,並操作於穩定狀態。開關切換頻率為 100kHz,Vs==20V,Vo=-30V,R=10Ω,則使為連續之最小電感為多少 μH?(A)4(B)2 (C)6(D)8。
50. 下圖所示電路之等效電感為多少亨利?(A)5H(B)3H(C)15H(D)9H。
51. 下列前置倍數(Prefix Multipliers)符號之意義,何者為錯誤?(A)c=,k=102(B)p=,T=(C)G=109,n=(D)μ=,M=106。
59. 一直流降壓式轉換器之電路如下圖所示,設電路由理想元件組成,並操作於穩定狀態。若開關切換 頻率為 100kHz,Vs=10V,V O=8V,R=40Ω,L=100μH,電感電流為連續,則 最大值為多少 A?(A)0.28(B)0.44(C)0.36(D)0.2。
61. 若 表示 MOSFET 的接面至外殼的熱阻(thermal resistance),為外殼至散熱片的熱阻,R為散熱片的熱阻,為外部溫度,為接面溫度,為元件外殼溫度,P 為熱功率(thermal power),則下列何者正確?(A)(B)(C)(D)
65. 運算放大器的濾波電路如下圖,求放大器的直流放大倍率與濾波器的-3dB 頻率為何?(A)低通濾波的頻率為 ω=1/R2C(B)放大倍數為-R2 /R1(C)低通濾波的頻率為 ω=1/R1C(D)放大倍數為-(1+R2 /R1 )。
68. 下圖電路中 SCR 之觸發電壓(trigger voltage)=0.75V、觸發電流(trigger current)=7mA 與保持 電流(holding current)=6mA,下列哪些選項正確?(A)陽極電流小於 6mA 時,SCR 仍可保持導通 (B)小於 0.6V 時,SCR 切斷(C)能觸發 SCR 之輸入電壓 大於 7.75V(D)SCR 切斷(off)時之輸出電壓
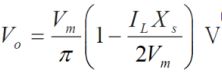
70. 考慮具有 RL 負載及飛輪二極體之單相半波整流電路換向時之電源電感效應,輸入電源為電源電感抗為,固定之負載電流為,下列哪些選項正確?(A)換向期間 2 個二極體皆不會導通(B)換向角 (C)負載端電壓平均值為 (D)電源電感效應會降低輸出電壓平均值。
72. 下圖所示電路,則下列敘述何者正確?(A)(B)(C)(D)
73. 下圖所示電路中,開關 s 於 t=0 閉合,V=12V、R=3Ω、L=5mH,電感無儲存能量,則下列敘述哪些是正確?(A)在 t=0 秒時,I=0A,=0V(B)在 t=1 秒時,I=0A,=12V(C)在 t=1 秒時,I=4A,=0V(D)在 t=0 秒時,I=0A,=12V。
77. 下列何者為變容二極體(varactor diodes)的符號?(A) (B) (C) (D)
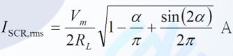
80. 下圖所示之單相交流電壓控制器(AC voltage controller),輸入電源為 ,純電阻性負載,觸發延遲角為 α,下列哪些選項正確?(A)流過每個 SCR 電流平均值為 (B)α>0°時,功率因數為 1(C)流過每個 SCR 之電流有效值為 (D)負載端電流有效值為