所屬科目:技檢◆飛機修護-丙級
1.如左圖此種形式的鬆緊套的保險方法叫做 (A)單線 交叉保 (B)單線單保 (C)雙線單保 (D)雙線交叉保 。
4.如左圖此種形式的鬆緊套的保險方法叫做 (A)單線交叉保 (B) 單線單保 (C)雙線單保 (D)雙線交叉保 。
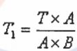
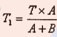
33.因工作需要在扭力扳手頭上加延長桿配接器,若 A=原來扳手的長度,B=延 長桿接頭長度,T=原來的實際扭力值,試問修正後之扭力值 T<sub>1</sub >,應為 (A) (B) (C) (D) 。