所屬科目:研究所、轉學考(插大)◆普通物理學
1,如圖一所示電容內有三種介電質(dielectric material, relative dielectric constant ki,2,3),三個介電質估用電極板的面積各為AI,A2,A3。上下各帶總電量+Q與-Q。電極板間距離d,為理想導體。下列斂述何者正
確?
(A)當A1≠FA2≠A3時,整個電容的大小與三個介電質估用電極板的面積有關;(B)整個電極板上的電荷密是不均匀的:(C)三個不同介電質內之電”場不同;(D)如果A1=A2=A3,電極板這三處區域的電荷密度皆同;(E)整個系統的電容值為
2.下列電磁學的觀念,何者正確?(A)法拉弟定律(Faraday law)告訴我們,同樣的磁場隨時間的變化量,造成電場旋度的改變,不管在水裡或在真空裡都一樣(與介質無關);(B)總電荷為零的介電質,若電偶極均匀排列,也會對外造成電場(C)加相同電場,感應電偶極越大的介電質,電磁波在裡面行進的速度越慢(D)磁場隨時間變化會造成的電場不是保守場。(E)磁場對自由電子不做功。
3.圖二,圖三為一樣半徑R的金屬球,裡面各挖了半徑一樣的洞。圖二洞的圓心在球心,圖三不在球心。圖二點電荷位置在洞的圓心,圖三不在洞的圓心。下列何者正確:
(A)圖二金屬以外的電場為為 ; (B)圖二與圖三,圓球以外(r>R)的電場分布不同;(C)由於屏放應,圖二與圖三外面都沒有電場;(D)圖二奥圖三之金屬球外層表面電荷分布相同;(E)圖二與圖三金屬與洞相鄰的內表面,圖二為電荷均匀分布,圖三為不均勻。
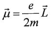
4.有一個繞十二圈的正方形線圖,邊長40公分躺在z=0的平面上(令穿出紙面為+方向),3安培電流的方向,看向紙面為逆時針方向。或者說,磁偶極矩(magnetic moment)的方向為+方向。今有磁場(Tesla)。下列何者正確?(設,磁偶極垂重磁場時,位能為零。N:牛頓;A:安培;m:公尺)(A)磁偶極矩為 5.76A-m2;(B)磁偶極所受到的力矩(torque)為 1.73N-m(C)磁偶極所受到的力矩為1.02N-N-m;(D)極在磁場中之位能為-2.3焦耳;(E)磁偶極在磁場中之位能為+2.3焦耳有一個
5歐姆喇叭,最大功率可以承受15W,小張想要用手邊的擴大器(power amplifier)驅動它,發現他的擴大器內阻(impedance)有2000歐姆,因此很難聽到音樂。還好他有修過普物,於是動手解決這個問題。以下他哪些考量是對的:(A)為了阻抗匹配。他纏了線圈數目比值1:20之變壓器(B)中線圈數目1是給擴大器,20是給喇叭(C)如果擴大器接小張纏繞的阻抗匹配電壓器的電壓為15伏特之交流電源,那麼,擴大器接2安培的保險絲再進入阻抗匹配電壓器,絕對不會燒壞喇叭。(2安培的保險絲,意思是指,保險絲在電流2安培時會燒毀,造成斷路)(D)以上皆對(E)以上皆非
6.有關牛頓力學基本觀念的描述,以下何者正確(A)當物理學家定義了”功(work)”,那么動能(kineticenergy)就可以定義出來,只要單位對了,這個動能是mv2也可以符合功能定理;(B)”符合功能定理”是保守場的定義;(C)只有在保守場才能定義位能;(D)能夠定義位能的場,機械能必定守恒;(E)機械能守恒的空間,力場的旋度必為零。
7.圖四的二種形狀的物體,總質量皆為M,r1,r2為為空心圓柱之內半徑與外半徑;R為球之半徑,且R=r2。以下何者正確:
(A)沿著軸,空心圓柱的慣性矩(moment of inertia)為(B)沿著軸時,圆球的慣性矩為2MR2/5;(C)沿著軸時圓球的慣性矩為3MR2/5;(D)一模一樣的物: 體,如果轉軸不一樣,慣性矩會不同;(E)只要質量一樣,轉軸一樣,一樣尺寸的圓柱,有沒有空心,不影響慣性矩。
8.承第五題,如圖五,二者由靜止於高度h的坡頂被釋放,斜坡長L。以下何者正確
(A)只滚動不滑動,二物到斜坡底之質心速度圓球比較快;(B)只滑動不滾動,二物到斜坡底之質心速度一樣;(C)只浪動不滑動;二物到斜坡底之時間一樣(D)只滑動不滾動,二物到斜坡底之時間一樣;(E)以上皆非
9.承第六題,同樣的斜坡,只滚動不滑動的情況下,對圓球而言離開斜坡之一瞬間之角頻率為(A)(B)(C)(D)(E)應該與工有關,所以以上皆非
10.如圖六所示,物體A與牆壁間連著一條繩子,繩子長度恰不會下垂。物體A之質量受重力1.2牛頓;物體B之質量受重力3.6牛頓;所有接面的靜摩擦係數皆為0.3;下列何者正確?
(A)大於1.44牛頓,物體B才會動;(B)F至於1.8牛頓,物體B才會動;(C)F從零開始,施力的過程,繩子的張力不變;(D)當B物體開始始移動後,A物尚未掉落前,這段期間繩子的張力不變;(E)如果沒有繩子,移動B物所需的力比較小
11.如圖七所示,1500 公斤的小車靜止高度H=23公尺處。非常微小擾動後滑下無摩擦之坡道,然後滑過一個15公尺直徑的圓環,小車滑到最高點時,道對小車的正向力為(選最接近值)(A)0;(B)20100牛頓;(C)16700牛頓;(D)26460牛頓;(E)小車滑不到最高點
12.以下熱力學自由膨脹的觀念何者正確?(A)理想氣體自由膨脹,內能不變(B)理想氣體自由膨脹,溫度變低(C)非理想氣體,分子間若有有凡德瓦爾力(Van der Waals),當其自由脹時,温度會變低(D)自由膨脹因為體積變大,所以對外有做功(E)自由膨脹是否造成温度變化,與是不是理想氣體無關。
13.下列何者對於熱力學中的”可逆”過程的描述是正確的?(A)熱力學第律並未牽涉到是否可逆過程;(B)可逆循環,回到原來熱力學狀態(state)時,度不變;(C)絕熱膨脹(adibatic and qusi-static expansion)為可逆過過程(D)基於由可逆過程構成的可逆循環的熱機效率是所有熱機可能達到的最高效率;(E)以上皆非
14.尼加拉瓜瀑布(Niagare Fall)高五十公尺,假設重力位能的減少,完全水温上升,請問水温會上升幾度(找最接近的答案)?(A)0.48K;(B)4.1K;(C)1.03K : (D) 0.12 : (E) 0.06(K︰Kelvin)
15.0.02 莫耳的理想氣體(氦氣),體積積為2升,温度為400K,絕熱而緩慢的(abibatic and qusi-static)膨脹到16升,下列何者正確?(A)最終温度100K;(B)最終壓力為1大氣壓;(C)氦氣總共對外做功為 1480 焦耳;(D)能的變化為-1.48kJ;(E)單原子分子與雙原子分子的定容比(heatcapacity at constant volume)不同 (R=8 J/mol-k)
16.我們的地球:(設以太陽為静止座標,以下何者正確)(A)夏天地玩冬天快:(B)地球繞太陽之角速度四季皆同;(C)若有超大地震造成改變,地球之角速度有可能改變:(D)若地球繞太陽的轉速變慢(時間變常),則地球自轉轉速會變快(若地球自轉與公轉之角向);(E)不管春夏秋冬,太陽對地球都不會造成力矩
17.有關近代物理角動量量子化的實驗,以下描述何者正確?(A)設電子電荷量為e,v為切線速度,則電子繞氫原子核的磁偶極矩(magnetic dipole)為qvr (B)從磁偶極矩與角動量的定義,我們可推得二者的關係為;(C)加均匀磁場,可以使不同角動量的原子在空間中分裂出來;(D)總角動量是零的原子經過 Stan-Gerlac 實驗中的磁場,仍可看到原子的分布份,那是電子自旋角動量(spin)造成:(E)Stan-Gerlac 實驗中的磁場是為了觀察Zeeman 效應。
18.每莫耳CO有28公克。今於室温(270C)有一大氣壓CO分子,平均自由徑6.45×10-8公尺。下述何者對一氧化碳的物理狀況的敘述是正確的(A)CO密度2.45x1025molecules/m3(B)均方根速度52m/s;(C)均方根速度517m/s;(D)CO分子碰撞頻率7.9x109s-1;(E)CO分子碰撞頻率7.9×1011s-1
19.設有一群電子,被10kV的高壓電位加速,打到一個靶材,而造成的X-光,所得最短長λminin 被用來入射另一個內有自由電子的靶波長改變了4.852x10-12公尺。下列何者正確(A)λmin 為 0.124 nm ;(B)λmin為0.0124nm;(C)第二個靶材,原先静止的電子會獲得6.3x10-12焦耳能量(D)第二個靶材,原先靜止的電子會獲得6.3x10-17焦耳能量(E)若入射X-光與散射的X-光夾角為零,則散射的X-光波長不變
20.下列量子物理的概念,何者正確?(A)無限深的位能阱,寬度變楚大;(B)在量子的世界裡一個初速度沒有快到可以翻越方形路障的彈珠,仍有機率穿過這個窄窄的路障(barrier);(C)同( B ),在量子的王某個特別的初速度,有較大的穿越路障的機率。甚至,比道一點的速度,穿越的機率反而降低;(D)在量子的世界裡,碗裡無法跑出碗外的一模一樣彈珠,一個彈彈珠有機會因為另一個彈因此同時跑出碗外,中間沒有任何能量的介入;(E)在量子,有液體可以無視重力,自動往高處流動,中間沒有任何能量