所屬科目:轉學考-普通化學
3.The atomic mass of rhenium is 186.2. Given that 37.1% of natural rhenium is rhenuim-185,what is the other stable isotope? (A)(B)(C)(D)(E)
4. The following reactions are examples of (A)precipitation reactions. (B)redox, precipitation, and acid-base, respectively. (C)precipitation (two) and acid-base reactions, respectively. (D) redox reactions. (E) none ofthese 75 Re , D) 7s Re
8. The van der Waals equation, , incorporates corrections to the ideal gas law in order to account for the properties of real gases. One of the corrections accounts for (A) the possibility of chemical reaction between molecules. (B) the finite volume of molecules. (C)the quantum behavior of molecules. (D) the fact that average kinetic energy is inversely proportional to temperature. (E) the possibility of phase changes when the temperature is decreased or the pressure is increased.
9. A 25.0 g piece of aluminum (which has a molar heat capacity of 24.03J/℃mol) is heated to 82.4*C and dropped into a calorimeter containing water (specific heat capacity of water is 4.18J/g℃initially at 22.3C. The final temperature of the water is 24.9℃. Calculate the mass of water in the calorimeter. (A)118 g(B)6.57g (C)3180g (D) 2120g (E) none of these
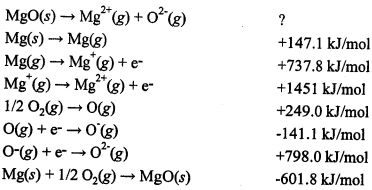
10. Calculate the lattice energy for MgO(s) using a Bomn-Haber cycle and the following information: (A)+1842 kJ/mol (B)+2444 kJ/mol (C)+3844 kJ/mol (D) +4108 kJ/mol
11. While mercury is very useful in barometers, mercury vapor is toxic. Given that mercury has a △Hvap of 59.11 kJ/mol and its normal boiling point is 356.7℃, calculate the vapor pressure in mm Hg at room temperature, 25℃. (A) mm Hg (B)2.99 mm Hg (C)372 mm Hg (D) 753 mm Hg
12.At a given temperature the vapor pressures of benzene and toluene are 183 mm Hg and 59.2 mm Hg, respectively. Calculate the total vapor pressure over a solution of benzene and toluene with (A)110 mm Hg (B)133 mm Hg (C)109 mm Hg (D) 242 mm Hg
13.A concentration-time study of the gas phase reaction produced the data in the table below. What is the average rate of formation of A2 in the time interval 20-30 seconds? (A)(B)(C)(D)
14. The following set of data was obtained by the method of initial rates for the reaction:Calculate the initial rate when is 0.30 M, Br-is 0.050 M, and H+ is 0.15 M. (A)(B)(C)(D)
15. The first-order isomerization reaction: cyclopropane→ propene, has a rate constant of 1.10 at 470℃ and an activation energy of 264 kJ/mol. What is the temperature of the reaction when the rate constant is equal to ? (A)126℃(B)411℃ (C) 510℃ (D) 540℃
16. Nitric oxide reacts with oxygen to form nitrogen dioxide:What is Kc' for the reverse reaction if the equilibrium concentration of NO is 0.300 M, O2, is 0.200 M, and NO2, is 0.530 M at 25℃? (A)0.0340 (B)0.0641 (C)0.624 (D) 15.6
17. The decomposition of ammonia is: what is the partial pressure of ammonia at equilibrium when N2 is 0.10 atm and H2is 0.15 atm? (A)(B)(C) (D)
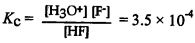
18.For acid solutions of the same molarity acid strength is proportional to the equilibrium concent tration of H3O+. For equimolar solutions of acids, which equilibrium expression below corresponds to the strongest acid? [H30+] [Fr] (A) (B)(C)(D)
19. What is the strongest BrΦnsted-Lowry acid in the chemical reaction shown below?(A)HNO3(B)Ba(OH)2(C)Ba(NO3)2 (D) H2O
20. If the ionization constant of water, Kw, at 40℃ is, then what is the hydronium ion concentration for a neutral solution?(A)(B) (C) (D)
21. What is the balanced equation for the galvanic cell reaction expressed using notation below?(A) (B)(C)(D)
22. The nickel-cadmium battery cell has a standard potential of +1.20 V. The cell reaction isWhat is the standard free energy change for this reaction? (A)-38.7 kJ (B)-116 kJ (C)-232 kJ (D) -463 kJ
23.Consider the following table of standard reduction potentials: Which substance is the strongest reducing agent? (A)A (B)B(C)C3 (D)C-
24.Beta decay of produces a beta particle and (A)(B) (C) (D)