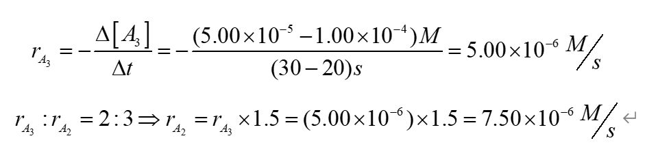
13.A concentration-time study of the gas phase reaction
produced the data in the table below.
What is the average rate of formation of A2 in the time interval 20-30 seconds?
(A)
(B)
(C)
(D) 
答案:登入後查看
統計: A(0), B(1), C(5), D(1), E(0) #2740074
統計: A(0), B(1), C(5), D(1), E(0) #2740074
詳解 (共 1 筆)
#5907140
2
0