所屬科目:研究所、轉學考(插大)-微積分
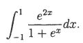
Problem 1 (8 points) Evaluate the integral
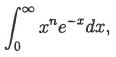
Problem 2 (8 points) Evaluate the improper integran is a positive integer.
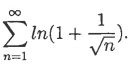
Problem 3 (10 points) Find
Problem 4 (10 points) Find
Problem 6 (10 points) Find
(a)
(b)
Problem 8 (10 points) Let
Problem 9 (14 points) Use the method of Lagrange multipliers to find the extreme values of z on the curve of intersection of