所屬科目:研究所、轉學考(插大)-微積分
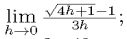
(b)
(c)
(d)
(e)
(f)
(g)
(h)
(c) f(x) = on [-2,3].
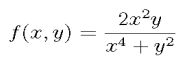
5. (8 points) Show that the function has no limit as (x,y) → (0,0).
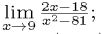
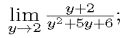
(a) ;