所屬科目:身心障礙升大專-化學
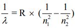
2. 氫原子光譜中的來曼系列,波長最短約為 91.2 nm,則波長最長 接近多少 nm? ( 已 知 芮 得 柏 公 式 如 右: - ,其 中 R 為 芮 得 柏 常 數, 其值為 ) (A) 97.2 (B) 102.5 (C) 121.6 (D) 364.6
16. 下列有關第二週期的元素及其相關化合物性質的敘述,何者正確? (A) 第一游離能隨著原子序增加而增加 (B) BH3與 NH3皆為極性分子 (C) 沸點高低: (D) 原子半徑: Li B > > Be
17. 在 25°C 時,He、Ar、N2 三種氣體平均速率大小的排序,何者正確? (A) (B) (C) (D)
21. 下列關於石灰與煤焦在高溫下反應的 敘述,何者最能說明此反應 為氧化還原反應?
(A) CaO失去氧變成 CaC2 (B) 反應前後,鈣的氧化數降低 (C) 部分碳在反應中失去電子,部分碳在反應中獲得電子 (D) 反應前後,碳元素的狀態改變
23. 下列關於反應 ΔH=−198.4 kJ 的 敘 述, 何者正確? (A) 移去部分 SO2可增加正反應的反應速率 (B) 降低溫度可增加逆反應的反應速率 (C) 活化複合體的位能較反應物高 198.4 kJ (D) 逆反應活化能較正反應活化能高 198.4 kJ
30. 下列關於等莫耳數的敘述何者正確? (A) 三者具有相同的質量 (B) 三者具有相同數目的中子 (C) 三者皆具有放射性 (D) 三者具有相同的化學性質
39. 汽機車排放的廢氣中含有 CO、NO 和未燃燒的碳氫化合物等有害 的氣體,因此現在汽機車的廢氣排放系統中裝有含鉑、鈀及銠金 屬的觸媒轉化器。鉑金屬觸媒可促進廢氣中的 CO 與碳氫化合物 與空氣反應產生 CO2 與 H2O。而銠金屬觸媒則可促進 CO 和 NO 轉換成 CO2 和 N2,其反應式為: 。下列有 關汽機車觸媒轉化器及其相關 反應的敘述,何者正確?
(A) 汽機車排放的廢氣經過觸媒轉化器後,所排出的氣體,不會 產生溫室效應 (B) 將碳氫化合物轉化成 CO2與 H O2 的過程,需消耗氧氣 (C) 若沒有鉑和銠金屬觸媒轉化器, 上述的反應皆不會進行 (D) 銠觸媒轉化器可將 CO 和 NO 全部轉換成 CO2和 N2
40. 某電池的淨反應式為 ,下列關於此電池的敘述何者正 確?
(A) 陽極半反應: (B) 陰極半反應: (C) 陰極為石墨,陽極為鐵,電解質溶液為 Fe( NO3 ) 3 溶 液 (D) 陰極為鐵,陽極為鋅,電解質溶液為 Fe ( NO3 ) 3 溶 液