所屬科目:身心障礙升大專-化學
2.分子式為的芳香烴有幾種結構異構物? (A)3(B)4(C)5(D)6
3.將鹽酸水溶液20.0毫升加水稀釋至100.0毫升後, 其濃度為多少? (A)M (B)M (C)M(D)M
12.下列何組混合後會發生氧化還原反應? (A)CH3OH與CH3COOH (B) (C)AgNO3與KI (D)Na與HCl
17.關於緩衝溶液的敘述,下列何者錯誤?() (A)緩衝溶液是同離子效應的應用,可以用勒沙特列原理來解釋 (B)酸鹼滴定的過程中,在達到當量點前,都會有一段緩衝區域, 此時的溶液,就可作為緩衝溶液 (C)在25℃時,1.0M的NH3(aq)與2.0M的NH4Cl(aq)各500毫升,可以混合而得緩衝溶液 (D)在25℃時,1.0公升的溶液中,含有1.0M之NH3(aq)與2.0M之 NH4Cl(aq),其pH接近於9.0
18.銀及銅的標準還原電位如下所示,銅銀電池的電壓為何? (A)0.12V(B)0.46V(C)1.14V(D)1.26V
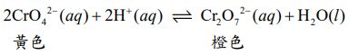
24.對下式中平衡反應的敘述,何者正確? (A)加入HCl,溶液顏色變黃色 (B)加入HCl後,再加入高濃度的BaCl2 ,會有黃色BaCrO4沉澱產生 (C)加入NaOH,溶液顏色變橙色 (D)加入H2O,平衡往右移動生成
25.在25℃時,CaF2的,試問CaF2在0.025M的NaF溶液中的溶解度為多少M? (A)(B)(C)(D)
27.乙醯膽鹼是中樞及周邊神經系統中常見的神經傳導物質,其結構如右所示:。試問此結構中具有下列哪 一類化合物的官能基團? (A)酯(B)醇(C)醚(D)醯胺
32.對於下列反應式的敘述,何者正確? (A)為氧化劑,為還原劑 (B)為氧化劑,CO2為還原劑 (C)為氧化劑,為還原劑 (D)為氧化劑,為還原劑
35.秒錶反應實驗是將碘酸鉀(KIO3)溶液(溶液A)與含有澱粉及亞硫酸氫根()溶液(溶液B)混合後,紀錄溶液顏色變藍所需的時間,下列對於秒錶反應的敘述何者錯誤? (A)亞硫酸氫根()溶液可由焦亞硫酸鈉(Na2S2O5)溶於水中製得 (B)溶液顏色變藍是因為碘(I2)與澱粉結合 (C)固定溶液B的濃度,溶液A濃度越低,所需變色時間越長,甚至不會變色 (D)固定溶液A的濃度,溶液B中澱粉濃度越高,所需變色時間越短
37.針對二氧化氮的雙聚反應:2NO2(g)⇌N2O4(g),下列三種條件共有幾種可使平衡向二氧化氮單體移動?
條件(1):於密閉系統中,增大體積。條件(2):定壓下,加入氦氣。條件(3):定容下,加入氦氣。(A)0(B)1(C)2(D)3