所屬科目:微積分
一、定義函數。試求 之值。(10 分)(註:須在使用處說明所使用的定理或法則的名稱。)
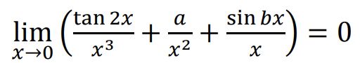
二、試求適當的實數 a 和 b 滿足下列極限等式。(15 分) (註:須在使用處說明所使用的定理或法則的名稱。)
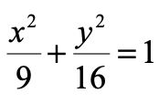
三、試求橢圓與直線x +y = 6的(最短)距離。(15 分)
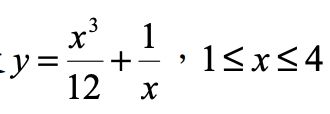
四、試求曲線線段 的長度。(15 分)
五、導出下列遞迴公式: ⑴ 。(9 分) (註:只有導出此遞迴公式才給分。) ഏ
五、導出下列遞迴公式:⑵
六、
七、