阿摩線上測驗
登入
首頁
>
微積分
>
108年 - 108 一般警察三等 微積分#76995
> 申論題
申論題
試卷:108年 - 108 一般警察三等 微積分#76995
科目:微積分
年份:108年
排序:0
申論題資訊
試卷:
108年 - 108 一般警察三等 微積分#76995
科目:
微積分
年份:
108年
排序:
0
申論題內容
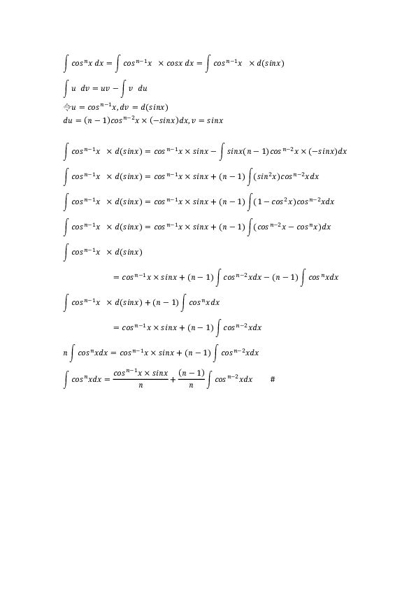
五、導出下列遞迴公式: ⑴
。(9 分) (註:只有導出此遞迴公式才給分。) ഏ
詳解 (共 1 筆)
詳解
提供者:江彥群