所屬科目:研究所、轉學考(插大)-微積分
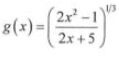
1. Find the derivative of
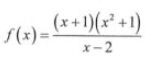
2. Find the derivative of
3. Evaluate the integral of and
4. Find the integral of
5. Prove =1(20%)