所屬科目:A.汽車學概論、B.電子概論、C.機械常識
8. 如【圖一】所示,為汽車引擎常使用之量具,今天如果想要測量飛輪偏轉度、汽缸失圓、 凸輪軸凸輪高度及活塞環間隙等四個項目時,則所需之量具依序為下列何者? (A) dabc (B) abdc (C) badc (D) abcd
12. 如【圖二】所示,請問是進行起動馬達電磁開關的哪項檢查? (A)吸入線圈導通性檢查 (B)吸入線圈絕緣性檢查 (C)吸住線圈導通性檢查 (D)吸住線圈絕緣性檢查
13. 汽車發動中,儀表板亮起如【圖三】所示之燈號,表示什麼意思? (A)機油溫度太低 (B)機油壓力太低 (C)機油達需更換里程 (D)機油油量太多
19. 如【圖四】所示,VZ=10V,最大額定功率為200mW。若負載電阻RL=200Ω,且負載 兩端電壓要維持在10V,請問輸入電壓Vi為何? (A) 16V (B) 21V (C) 25V (D) 31V
20. 如【圖五】所示,電晶體偏壓電路,若電晶體β=100,求電晶體的集極電流約為多少? (A) 1mA (B) 0.84mA (C) 0.70mA (D) 0.5mA
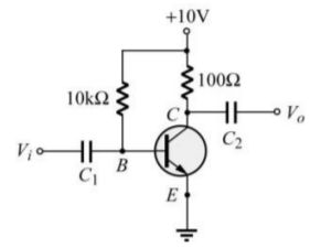
24. 如【圖六】所示, C1 之主要功能為何? (A)隔離交流訊號 (B)提高輸入阻抗 (C)隔離直流偏壓 (D)消除雜訊
25. 如【圖七】所示之電流波形,其頻率為何? (A) 250Hz (B) 200Hz (C) 500Hz (D) 50Hz
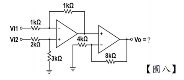
32. 如【圖八】所示,Vi1=10V、Vi2=4V,飽和輸出電壓為 ±15V ,求Vo為多少? (A) 12V (B)-12V (C) 15V (D)-15V
34. 如【圖九】所示, V i =15sin ωt ,圖中二極體皆為理想,則VO之最大振幅為? (A) 3V (B) 6V (C) 15V (D) 0V
38. 製圖學中的「等角投影圖」,其XYZ三軸線應相互成幾度? (A) 45° (B) 90° (C) 120° (D) 180°
5. 有一交流電壓為 ,求秒時的瞬間電壓值為________ 伏特。